[Premium]{class="badge positive" title="Consulte qué se incluye en Target Premium."}

La ciencia detrás de los algoritmos de recomendaciones de Target

Una descripción detallada de los algoritmos utilizados en Adobe Target Recommendations, incluidos los detalles lógicos y matemáticos de la formación de modelos y el proceso de servicio de modelos.

La formación de modelos es el proceso de generación de recomendaciones mediante los algoritmos de aprendizaje de Adobe Target. El servicio de modelos es la forma en que Target envía recomendaciones a los visitantes del sitio (también conocida como entrega de contenido).

Target incluye los siguientes tipos generales de algoritmos en Recommendations:

  • Algoritmos basados en elementos: incluye algoritmos que sigan la lógica "Las personas que vieron/compraron este artículo también vieron/compraron estos artículos". Estos algoritmos se agrupan bajo el término general de filtrado colaborativo elemento-elemento, así como Items with Similar Attributes algoritmos.

  • Algoritmos basados en usuarios: incluya los algoritmos Recently Viewed y Recommended for You.

  • Algoritmos basados en popularidad: incluye algoritmos que devuelven los artículos más visitados o comprados en el sitio web, o los más visitados o los más comprados por categoría o atributo de artículo.

  • Algoritmos basados en el carro de compras: incluya recomendaciones basadas en varios artículos con la lógica "las personas que vieron o compraron estos artículos, también vieron o compraron esos artículos".

  • Criterios personalizados: incluir recomendaciones basadas en archivos personalizados cargados en Target.

NOTE
Para obtener información más general acerca de cada tipo de algoritmo y los algoritmos individuales, vea Basar la recomendación en una clave de recomendación.

Muchos de los algoritmos enumerados arriba se basan en la presencia de una o varias claves. Estas claves se utilizan para recuperar artículos similares en el momento de la entrega de contenido (cuando se realizan recomendaciones). Las claves especificadas por el cliente pueden incluir el artículo actual que alguien está viendo, el último artículo que vio o compró, el artículo más visitado, la categoría actual o la categoría favorita de ese visitante. Otros algoritmos, como las recomendaciones basadas en el carro de compras o en las recomendaciones basadas en usuarios, utilizan claves implícitas (que el cliente no puede configurar). Para obtener más información, consulte Claves de recomendación, en Basar la recomendación en una clave de recomendación. Sin embargo, tenga en cuenta que estas claves solo son relevantes a la hora de servir el modelo (entrega de contenido). Estas claves no afectan a la lógica del tiempo de formación del modelo o sin conexión.

Las secciones siguientes agrupan los algoritmos de una manera ligeramente diferente a los tipos de algoritmo descritos anteriormente. La siguiente agrupación se basa en la similitud de la lógica de formación del modelo.

Filtrado colaborativo elemento-elemento

Los algoritmos incluyen:

  • People Who Viewed This, Viewed That
  • People Who Viewed This, Bought That
  • People Who Bought This, Bought That

Los algoritmos de recomendación de filtrado colaborativos elemento-elemento se basan en la idea de que debe utilizar los patrones de comportamiento de muchos usuarios (por lo tanto, colaborativos) para proporcionar recomendaciones útiles para un elemento determinado (por ejemplo, filtrar el catálogo de posibles elementos para recomendar). Aunque hay muchos algoritmos diferentes que caen bajo el paraguas general de filtrado colaborativo, estos algoritmos universalmente usan fuentes de datos de comportamiento como entradas. En Target Recommendations, estas entradas son vistas únicas y compras de elementos por parte de los usuarios.

Para el algoritmo "las personas que vieron/compraron este artículo también vieron/compraron estos artículos", el objetivo es calcular una similitud (A,B) entre todos los pares de artículos. Para un elemento A determinado, las recomendaciones principales se ordenan por su similitud s(A,B).

Un ejemplo de esta similitud es la coocurrencia entre artículos: un recuento simple del número de usuarios que compraron ambos artículos. Aunque intuitiva, esta métrica es ingenua, ya que está sesgada hacia la recomendación de artículos populares. Por ejemplo, si en un retailer de comestibles la mayoría de las personas compran pan, el pan tendrá una alta coocurrencia con todos los artículos, pero no es necesariamente una buena recomendación. Target utiliza en su lugar una métrica de similitud más sofisticada conocida como proporción de probabilidad de registro (LLR). Esta cantidad es grande cuando la probabilidad de que dos artículos, A y B, coocurran es muy diferente a la probabilidad de que no ocurran. Para ser más concretos, considere un caso del algoritmo People Who Viewed This, Bought That. La similitud LLR es grande cuando la probabilidad de que B se haya comprado es no independientemente de si alguien vio A.

Por ejemplo, si

Fórmula para el algoritmo visto/comprado

entonces el artículo B no se debe recomendar con el artículo A. Se proporcionan todos los detalles de este cálculo de similitud de relación de probabilidad de registro en este PDF.

El flujo lógico de la implementación del algoritmo real se muestra en el siguiente diagrama esquemático:

Diagrama esquemático de un algoritmo visitado/comprado

Los detalles de estos pasos son los siguientes:

  • Datos de entrada: Datos de comportamiento en forma de vistas y compras de visitantes recopilados al implementar Target o desde Adobe Analytics.

  • Formación de modelo:

    • Limpieza y muestreo de datos: Para los algoritmos con una retrospectiva de N días, los datos de comportamiento se filtran primero para incluir solo esos N días de datos. A continuación, se aplican reglas de recopilación y exclusiones globales para eliminar cualquier elemento que no deba recomendarse. Por último, los datos de uso de cualquier visitante que haya interactuado con más de 1000 elementos se han muestreado a solo 1000 elementos.
    • Cálculo de similitud de elementos: Este es el paso de cálculo central: calcular la similitud de relación de probabilidad de registro entre todos los pares de elementos candidatos y clasificar los pares de elementos por esta puntuación de similitud.
    • Filtrado sin conexión: Por último, se aplican los filtros dinámicos que sean aplicables (por ejemplo, exclusiones de categorías dinámicas). Después de este paso, las recomendaciones precalculadas se almacenan en la caché global para que estén disponibles para su servicio.
  • Modelo que sirve: el contenido de Recommendations se entrega desde la red Targetglobal Edge" de 🔗. Cuando se realizan solicitudes de mbox a Target y se determina que el contenido de las recomendaciones debe entregarse a la página, la solicitud de la clave de elemento adecuada para el algoritmo de recomendaciones se analiza desde la solicitud o se busca desde el perfil de usuario y, a continuación, se utiliza para recuperar las recomendaciones calculadas en los pasos anteriores. Se aplican más filtros dinámicos en este momento, antes de que se represente el diseño apropiado.

Similitud de contenido

Algoritmo incluido:

  • Items with Similar Attributes

En este tipo de algoritmo, dos elementos se consideran relacionados si sus nombres y descripciones textuales son semánticamente similares. A diferencia de la mayoría de los algoritmos de recomendaciones en los que se deben utilizar fuentes de datos de comportamiento, los algoritmos de similitud de contenido utilizan metadatos de catálogos de productos para derivar la similitud entre los elementos. Target puede, por lo tanto, implementar recomendaciones en los llamados escenarios de "inicio en frío", en los que no se han recopilado datos de comportamiento (por ejemplo, al principio de una actividad Target).

Aunque los aspectos del servicio de modelos y la entrega de contenido de los algoritmos de similitud de contenido de Target son idénticos a otros algoritmos basados en elementos, los pasos de formación del modelo son drásticamente diferentes e implican una serie de pasos de procesamiento y preprocesamiento de lenguaje natural, como se muestra en el diagrama siguiente. El núcleo del cálculo de similitud es el uso de la similitud de coseno de vectores tf-idf modificados que representan cada elemento del catálogo.

Diagrama que muestra el flujo del proceso de similitud de contenido

Los detalles de estos pasos son los siguientes:

  • Datos de entrada: como se describió anteriormente, este algoritmo se basa exclusivamente en los datos del catálogo (introducidos en Target a través de una fuente de catálogo la API de entidades o de actualizaciones en la página.

  • Formación de modelo:

    • Extracción de atributos: después de la aplicación de filtros estáticos regulares, reglas de catálogo y exclusiones globales, este algoritmo extrae campos de texto relevantes del esquema de entidad. Target usa automáticamente los campos de nombre, mensaje y categoría de los atributos de entidad e intenta extraer cualquier campo de cadena de los atributos de entidad personalizados. Este proceso se realiza asegurándose de que la mayoría de los valores de ese campo no se puedan analizar como números, fechas o booleanos.

    • Eliminación de secuencias y palabras de detención: para que la coincidencia de similitud de texto sea más precisa, es prudente quitar las palabras "detención" muy comunes que no alteran significativamente el significado de un elemento (por ejemplo, "era", "es", "y", etc.). Del mismo modo, la derivación se refiere al proceso de reducir las palabras con diferentes sufijos a su palabra raíz, que tiene un significado idéntico (por ejemplo, "conectar", "conectar" y "conexión" tienen la misma palabra raíz: "conectar"). Target utiliza el programa de Snowball. Target realiza primero la detección automática de idioma y puede detener la eliminación de palabras en hasta 50 idiomas y la eliminación de secuencias en 18 idiomas.

    • Creación de n-gramas: Después de los pasos anteriores, cada palabra se trata como un token. El proceso de combinar secuencias contiguas de tokens en un único token se denomina creación de n-gramas. Los algoritmos de Target consideran hasta 2 gramos.

    • cálculo de tf-idf: el siguiente paso implica la creación de vectores de tf-idf para reflejar la importancia relativa de los tokens en la descripción del elemento. Para cada token/término t de un elemento i, en un ID de catálogo con |D| elementos, el término frecuencia TF(t, i) se calcula primero (el número de veces que el término aparece en el elemento i), así como la frecuencia del documento DF(t, D). En esencia, el número de elementos donde existe el token. La medida tf-idf es entonces

      Fórmula que muestra la medida tf-idf

      Target usa la implementación de características tf-idf de Apache Spark, que proporciona un espacio de 218 tokens a cada token. En este paso, también se aplica el aumento y la sepultura de atributos especificados por el cliente ajustando las frecuencias de los términos en cada vector según la configuración especificada en criteria.

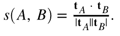
    • Cálculo de similitud de elementos: El cálculo final de similitud de elementos se realiza utilizando una similitud de coseno aproximada. Para dos elementos, A y B, con los vectores tA y tB, la similitud de coseno se define como:

      Fórmula que muestra el cálculo de similitud de elementos

      Para evitar una complejidad significativa en el cálculo de similitudes entre todos los elementos N x N, el vector tf-idf se trunca para contener solamente sus 500 entradas más grandes y, a continuación, calcular las similitudes de coseno entre los elementos utilizando esta representación de vector truncada. Este enfoque resulta más robusto para cálculos de similitud de vectores dispersos, en comparación con otras técnicas aproximadas de vecino más cercano (ANN), como el hashing sensible a la localidad.

    • Modelo que sirve: Este proceso es idéntico a las técnicas de filtrado colaborativo de elementos descritas en la sección anterior.

Recomendaciones de claves múltiples

Los algoritmos incluyen:

  • Recomendaciones basadas en el carro de compras
  • Recommended For You

Las adiciones más recientes al conjunto de algoritmos de recomendaciones Target son Recommended For You y una serie de algoritmos de recomendaciones basados en el carro de compras. Ambos tipos de algoritmos utilizan técnicas de filtrado colaborativas para formar recomendaciones individuales basadas en elementos. A continuación, en el momento del servicio, se utilizan varios elementos en el historial de exploración del usuario (para Recommended For You) o el carro de compras actual del usuario (para recomendaciones basadas en el carro de compras) para recuperar estas recomendaciones basadas en elementos, que luego se combinan para formar la lista final de recomendaciones. Tenga en cuenta que existen muchos tipos de algoritmos de recomendación personalizados. La elección de un algoritmo de claves múltiples significa que las recomendaciones están disponibles inmediatamente después de que un visitante tenga un historial de navegación y que las recomendaciones se puedan actualizar para responder al comportamiento del visitante más reciente.

Estos algoritmos se basan en las técnicas de filtrado colaborativas básicas descritas en la sección de recomendaciones basadas en elementos, pero también incorporan ajustes de hiperparámetros para determinar la métrica de similitud óptima entre los elementos. El algoritmo realiza una división cronológica de los datos de comportamiento de cada usuario y entrena los modelos de recomendación en los datos anteriores al intentar predecir los elementos que un usuario ve o compra más tarde. A continuación, se elige la métrica de similitud que produce la precisión media óptima de [Mean Average Precision]​(https://en.wikipedia.org/wiki/Evaluation_measures_(information_retrieval?lang=es).

La lógica del aprendizaje del modelo y los pasos de puntuación se muestran en el siguiente diagrama:

Diagrama que muestra la lógica de los pasos de entrenamiento y puntuación del modelo

Los detalles de estos pasos son los siguientes:

  • Datos de entrada: esto es idéntico a los métodos de filtrado colaborativo (CF) de elementos. Los algoritmos de Both Recommended For You y basados en el carro de compras usan datos de comportamiento en forma de vistas y compras de usuarios recopilados al implementar Target o desde Adobe Analytics.

  • Formación de modelo:

    • Limpieza y muestreo de datos: Esto es igual que para los métodos de filtrado de colaboración, donde la ventana retrospectiva se aplica para filtrar datos de comportamiento a un intervalo de fechas adecuado, seguido de la aplicación de reglas de catálogo y exclusiones globales. Los visitantes que han interactuado con más de 1000 elementos solo tienen en cuenta sus 1000 usos más recientes.
    • Dividir prueba de entrenamiento: realice una división cronológica de los usos para cada usuario, asignando el primer 80% de sus usos a los datos de entrenamiento, y el 20% restante a los datos de prueba.
    • Aprendizaje del modelo de similitud de elementos: el cálculo de similitud de elementos principal difiere para Recommended For You y los algoritmos basados en el carro de compras en la forma en que se construyen los vectores de elementos candidatos. Para Recommended For You, los vectores de elementos tienen usuarios de dimensión, donde cada entrada representa la suma de las clasificaciones implícitas para ese usuario del elemento; las compras de un elemento tienen un peso del doble que las vistas del elemento. Para las recomendaciones basadas en el carro de compras, los vectores de elementos tienen entradas binarias; si solo se debe considerar el comportamiento dentro de la sesión, hay una nueva entrada para cada sesión. De lo contrario, hay una entrada en este vector de elemento para cada visitante.

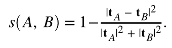
    El paso de aprendizaje calcula varios tipos de similitudes vectoriales: similitud de LLR (aquí ​), similitud de coseno (definida anteriormente) y una similitud de L2 normalizada, definida como:

    Fórmula que muestra cálculo de formación

    • Evaluación del modelo de similitud de elementos: la evaluación del modelo se realiza tomando las recomendaciones generadas en el paso anterior y realizando predicciones sobre el conjunto de datos de prueba. La fase de puntuación en línea se imita ordenando cronológicamente los usos de los elementos de cada usuario en el conjunto de datos de prueba y, a continuación, realizando 100 recomendaciones para subconjuntos de elementos ordenados en un intento de predecir vistas y compras posteriores. Para evaluar la calidad de estas recomendaciones se usa una métrica de recuperación de información, la [precisión media]​(https://en.wikipedia.org/wiki/Evaluation_measures_(information_retrieval?lang=es)). Esta métrica tiene en cuenta el orden de las recomendaciones y favorece los elementos relevantes que están más arriba en la lista de recomendaciones, lo que es una propiedad importante para los sistemas de clasificación.
    • Selección de modelo: después de la evaluación sin conexión, se selecciona el modelo que tiene la precisión media promedio más alta y se calculan todas las recomendaciones de elementos individuales para él.
    • Filtrado sin conexión: la etapa final del aprendizaje del modelo es la aplicación de cualquier filtro dinámico aplicable. Después de este paso, las recomendaciones precalculadas se almacenan en la caché global para que estén disponibles para su servicio.
  • Servicio del modelo: a diferencia de los algoritmos anteriores en los que las recomendaciones de servicio implican la especificación de una sola clave para la recuperación, seguida de la aplicación de reglas empresariales, los algoritmos de Recommended for You y basados en el carro de compras emplean un proceso de tiempo de ejecución más complejo.

    • Recuperación y combinación de varias claves: Para las recomendaciones basadas en el carro de compras, hasta diez elementos que se pasan en el carro de compras se consideran claves para la recuperación y las recomendaciones de cada uno se ponderan de forma equitativa. Para Recommended for You, hasta los últimos cinco artículos vistos únicos y los últimos cinco artículos comprados únicos se consideran claves para la recuperación, con recomendaciones que surgen de artículos comprados que tienen un peso el doble que las recomendaciones que surgen de artículos vistos. Al combinar recomendaciones, si un elemento aparece en varias listas individuales de recomendaciones, se añaden sus puntuaciones de similitud ponderadas. La lista final de recomendaciones de esta fase es la lista combinada de recomendaciones ponderadas de nuevo, clasificadas en orden descendente.
    • Filtrado: a continuación, se aplican reglas de filtrado como la eliminación de elementos vistos o comprados anteriormente, así como otras reglas comerciales dinámicas.

Estos procesos se ilustran en la siguiente imagen, donde un visitante ha visto el elemento A y ha comprado el elemento B. Las recomendaciones individuales se recuperan con las puntuaciones de similitud sin conexión que se muestran debajo de cada etiqueta de elemento. Después de la recuperación, las recomendaciones se combinan con puntuaciones de similitud ponderadas sumadas. Por último, en un escenario en el que el cliente haya especificado que los artículos vistos y comprados anteriormente deben filtrarse, el paso de filtrado elimina los artículos A y B de la lista de recomendaciones.

Diagrama que muestra el procesamiento de algoritmos de claves múltiples

Basado en popularidad

Los algoritmos incluyen:

  • Most Viewed Across the Site
  • Most Viewed by Category
  • Most Viewed by Item Attribute
  • Top Sellers Across the Site
  • Top Sellers by Category
  • Top Sellers by Item Attribute

Target proporciona algoritmos basados en la popularidad tanto para los artículos más vistos como para los artículos más vendidos en un sitio web o desglosados por atributo o categoría de artículo. Los algoritmos basados en popularidad clasifican los elementos según el número de sesiones en las que se vieron o compraron en un lapso de tiempo determinado.

Todos estos algoritmos combinan datos de comportamiento agregados donde el número total de sesiones en las que se vieron y compraron artículos se registra tanto a resoluciones horarias como diarias. A continuación, los algoritmos individuales buscan los artículos más vistos o comprados para la ventana retrospectiva configurada por el cliente.

Los matices de algoritmo individuales son los siguientes:

  • Most Viewed Across the Site y Top Sellers Across the Site clasifican los elementos según el recuento acumulado de sesiones en las que se vieron o compraron respectivamente. El resultado es una lista única (sin clave) de elementos recomendados.
  • Los artículos más visitados/más vendidos por categoría/atributo de artículo son recomendaciones en las que los artículos se ordenan según el recuento acumulado de sesiones en las que se vieron o compraron, pero agrupados por la categoría del artículo o el atributo del artículo específico. Los resultados son listas de elementos recomendados, escritas por valores de categorías o valores de atributos de elementos.

Vistos recientemente

El algoritmo de recomendaciones "vistas recientemente" permite la personalización de recomendaciones en la sesión. Este algoritmo no requiere "formación de modelo" sin conexión. En su lugar, Target usa el perfil del visitante único para mantener una lista en ejecución de los elementos que se han visto en una sesión determinada y que pueden aparecer en las actividades de Recommendations. Esto permite realizar actualizaciones en tiempo real de las recomendaciones y la personalización de la página siguiente.

Criterios personalizados

Los criterios personalizados permiten a los clientes cargar sus propias recomendaciones en Target, lo que proporciona una flexibilidad importante y permite las capacidades de "traer su propio modelo". Los criterios personalizados reemplazan la parte "aprendizaje sin conexión" de Item-Based recomendaciones, pero se comportan de manera similar a los algoritmos de recomendación basados en elementos durante la fase de entrega de contenido en línea, en el sentido de que se utiliza una sola clave para la recuperación de recomendaciones y luego se aplican reglas/filtros empresariales.

recommendation-more-help
3d9ad939-5908-4b30-aac1-a4ad253cd654