Grundfunktioner

Med verktyget Beräknade mätvärden kan du använda statistiska och matematiska funktioner. I den här artikeln finns en lista i alfabetisk ordning över funktionerna och deras definitioner.

NOTE
Där metric identifieras som ett argument i en funktion tillåts även andra uttryck för mätvärden. Till exempel tillåter COLUMN MAXIMUM(metrics) även COLUMN MAXIMUM(PageViews + Visits).

Tabellfunktioner jämfört med radfunktioner

En tabellfunktion är en funktion där utdata är desamma för alla rader i tabellen. En radfunktion är en funktion där utdata är olika för alla rader i tabellen.

Om det är tillämpligt och relevant kommenteras en funktion med funktionstypen: [Tabell]{class="badge neutral"} eller [Rad]{class="badge neutral"}

Vad betyder parametern include-zeros?

Den anger om nollor ska inkluderas i beräkningen. Ibland betyder noll ingenting, men ibland är det viktigt.

Om du till exempel har ett intäktsmått och sedan lägger till ett sidvymått i rapporten finns det plötsligt fler rader för dina intäkter, som alla är noll. Du vill förmodligen inte att det ytterligare måttet ska påverka några MEAN, ROW MINIMUM, QUARTILE och fler beräkningar som du har i intäktskolumnen. I det här fallet kontrollerar du parametern include-zeros.

Ett alternativt scenario är att du har två intressanta mätvärden och ett har ett högre genomsnitt eller minimum eftersom några av raderna är nollor. I så fall kan du välja att inte kontrollera parametern så att den innehåller nollor

Absolut värde absolute-value

Effekt ABSOLUTE VALUE(metric)

[Rad]{class="badge neutral"} Returnerar det absoluta värdet av ett tal. Det absoluta värdet för ett tal är talet med ett positivt värde.

Argument
Beskrivning
mått
Det mått som du vill beräkna det absoluta värdet för.

Använd skiftläge: Kontrollera att alla resultat är positiva när du analyserar mätvärden som kan generera negativa värden, till exempel intäktsdeltas eller procentändringar. Detta bidrar till att fokusera på ändringens storlek utan hänsyn till riktning.

I beräkningsverktyget: Radbryt måttet eller uttrycket i funktionen Absolut värde, till exempel: Absolut värde(Aktuell intäkt - Tidigare intäkt). Detta konverterar eventuella negativa skillnader till positiva värden.

TIP
Använd det här alternativet om du vill mäta absoluta skillnader mellan två tidsperioder eller segment, oavsett om prestanda ökade eller minskade.

Högsta kolumn column-maximum

Effekt COLUMN MAXIMUM(metric, include_zeros)

Returnerar det största värdet i en uppsättning dimensionselement för en måttkolumn. MAXV utvärderas lodrätt i en enda kolumn (mått) över dimensionselement.

Argument
Beskrivning
mått
Kräver minst ett mått men kan ta valfritt antal mått som parametrar.
include_zeros
Om nollvärden ska inkluderas eller inte i beräkningarna.

Använd fall: Identifiera det högsta värdet inom en uppdelning, till exempel den dag som har flest besök eller den produkt som har störst intäkt. Detta hjälper till att framhäva topprestanda i olika kategorier.

I beräkningsverktyget: Använd Kolumnmaximum för ett mått som Intäkt eller Besök vid nedbrytning av Dag eller Produkt. Funktionen returnerar det största värdet i den kolumnen för varje rad.

TIP
Använd en IF-sats, till exempel IF(Intäkter = Kolumngräns*(Inkomster*), 1, 0), för att markera det objekt som presterar bäst i din detaljnivå.

Minsta kolumn column-minimum

Effekt COLUMN MINIMUM(metric, include_zeros)

Returnerar det minsta värdet i en uppsättning dimensionselement för en måttkolumn. MINV utvärderas lodrätt i en enda kolumn (mått) över dimensionselement.

Argument
Beskrivning
mått
Kräver minst ett mått men kan ta valfritt antal mått som parametrar.
include_zeros
Om nollvärden ska inkluderas eller inte i beräkningarna.

Använd skiftläge: Identifiera det lägsta värdet inom en nedbrytning, till exempel kampanjen med lägsta antal konverteringar eller dagen med lägsta intäkt. Detta gör att du snabbt kan identifiera segment som inte presterar så bra.

I beräkningsverktyget: Tillämpa Kolumnminimum på ett mått som Intäkter eller Konverteringsgrad vid nedbrytning av Kampanj eller Dag. Funktionen returnerar det minsta värdet i den kolumnen för varje rad.

TIP
Använd en IF-sats, t.ex. IF(Intäkter = Kolumnminimum*(Inkomster*), 1, 0), för att markera det objekt som har lägst prestanda i nedbrytningen.

Kolumnsumma column-sum

Effekt COLUMN SUM(metric)

Lägger till alla numeriska värden för ett mått i en kolumn (över elementen i en dimension).

Argument
Beskrivning
mått
Kräver minst ett mått men kan ta valfritt antal mått som parametrar.

Använd fall: Beräkna summan av alla värden inom en uppdelning, till exempel totala intäkter för alla produkter eller totala besök för alla dagar. Detta är praktiskt när du behöver en total summa som ska jämföras med enskilda radvärden.

I beräkningsverktyget: Tillämpa kolumnsumma på ett mätresultat som Intäkter eller Besök vid nedbrytning av Produkt eller Dag. Funktionen returnerar summan av alla värden i den kolumnen för varje rad.

TIP
Använd när du behöver en referens till den totala summan för att beräkna aktier eller procent av det totala resultatet.

Antal count

Effekt COUNT(metric)

[Tabell]{class="badge neutral"} Returnerar antalet, eller antalet, värden som inte är noll för ett mätvärde i en kolumn (antalet unika element som rapporteras i en dimension).

Argument
Beskrivning
mått
Det mätvärde som du vill räkna.

Använd skiftläge: Räkna antalet datapunkter som ingår i en beräkning, till exempel antalet dagar i ett datumintervall eller antalet produkter i en uppdelning. Detta är praktiskt när du behöver veta hur många objekt som bidrar till ett aggregerat värde.

I beräkningsverktyget: Använd Antal på ett mätresultat som Besök eller Intäkter om du vill returnera det totala antalet rader (eller datapunkter) som ingår i den aktuella uppdelningen eller datumintervallet.

TIP
Använd tillsammans med Kolumnsumma för att beräkna medelvärden manuellt (till exempel Kolumnsumma(Intäkter) / Antal(Inkomster)).

Exponent exponent

Effekt EXPONENT(metric)

[Rad]{class="badge neutral"} Returnerar e upphöjt till ett angivet tal. Konstanten e är lika med 2,71828182845904, basen för den naturliga logaritmen. EXPONENT är den inverterade LN, den naturliga logaritmen av ett tal.

Argument
Beskrivning
mått
Exponenten som används på basen e.

Använd skiftläge: Höj ett tal eller ett mått till en angiven potens, till exempel dela ett värde eller tillämpa en exponentiell tillväxtfaktor. Detta är användbart när du modellerar tillväxttrender eller skalar ett mätresultat exponentiellt.

I beräkningsverktyget: Använd Exponent med ett mätvärde och ett energivärde. Till exempel: Exponent(Besök, ) fyrkantiga måttet Besök.

TIP
Kombinera med Logaritm för avancerad modellering eller för att jämna ut mycket variabeldata när du jämför tillväxtmönster.

Medel mean

Effekt MEAN(metric, include_zeros)

[Tabell]{class="badge neutral"} Returnerar det aritmetiska medelvärdet, eller medelvärdet, för ett mått i en kolumn.

Argument
Beskrivning
mått
Det mätvärde som du vill beräkna genomsnittet för.
include_zeros
Om nollvärden ska inkluderas eller inte i beräkningarna.

Använd fall: Beräkna det aritmetiska medelvärdet för en uppsättning värden, till exempel den genomsnittliga dagliga intäkten eller det genomsnittliga antalet besök per kampanj. Detta hjälper till att upprätta en baslinje för att jämföra enskilda värden i en datauppsättning.

I beräkningsverktyget: Använd Medel på ett mätresultat som Intäkter eller Besök om du vill returnera det genomsnittliga värdet för alla datapunkter i det valda nedbrytnings- eller datumintervallet.

TIP
Använd för att förstå övergripande prestandatender eller kombinera den med standardavvikelse för att mäta konsekvens runt genomsnittet.

Median median

Effekt MEDIAN(metric, include_zeros)

[Tabell]{class="badge neutral"} Returnerar medianen för ett mätvärde i en kolumn. Medianvärdet är talet i mitten av en sifferuppsättning. Det innebär att hälften av talen har värden som är större än eller lika med medianen och hälften är mindre än eller lika med medianen.

Argument
Beskrivning
mått
Det mätvärde som du vill beräkna medianvärdet för.
include_zeros
Om nollvärden ska inkluderas eller inte i beräkningarna.

Använd skiftläge: Identifiera det mellersta värdet i en datauppsättning, till exempel dagliga medianintäkter eller mediansidvisningar per besök. Detta är användbart när du vill minska effekten av avvikelser och se datatrenden centralt.

I beräkningsverktyget: Använd median för ett mätresultat som Intäkts- eller Sidvyer om du vill returnera mittpunktsvärdet för alla datapunkter i det valda uppdelnings- eller datumintervallet.

TIP
Använd i stället för Medel när dina data innehåller extrema högdagrar eller glöder som kan förvränga medelvärdet.

Modulo modulo

Effekt MODULO(metric_X, metric_Y)

Returnerar resten efter division av x med y med division Euclidean.

Argument
Beskrivning
metric_X
Det första mätvärdet som du vill dela.
metric_Y
Det andra mätvärdet som du vill dela.

Använd skiftläge: Returnera resten när du har dividerat ett tal med ett annat. Detta kan vara användbart för cykliska eller upprepade mönster, som att identifiera varje dag eller kampanj i en sekvens.

I beräkningsverktyget: Använd modulo med två numeriska indata. Till exempel: Modulo(Dagnummer, 7) returnerar resten efter att dagsnumret delats med sju, vilket kan hjälpa till att gruppera data efter vecka.

TIP
Kombinera med villkorlig logik för att markera återkommande intervall eller segmentera data baserat på upprepade cykler.

Fler exempel

Returvärdet har samma tecken som indata (eller är noll).

MODULO(4,3) = 1
MODULO(-4,3) = -1
MODULO(-3,3) = 0

För att vara säker på att du alltid får ett positivt tal använder du

MODULO(MODULO(x,y)+y,y)

Procent percentile

Effekt PERCENTILE(metric, k, include_zeros)

[Tabell]{class="badge neutral"} Returnerar den n:e percentilen, som är ett värde mellan 0 och 100. När n < 0 används noll. När n > 100 returneras 100.

Argument
Beskrivning
mått
Procentvärdet i intervallet 0 till 100.
k
Den måttkolumn som definierar relativ position.
include_zeros
Om nollvärden ska inkluderas eller inte i beräkningarna.

Använd skiftläge: Identifiera det värde under vilket en viss procentandel av datapunkterna faller, till exempel den 90:e percentilen av dagliga intäkter eller sidvisningar. Detta hjälper till att mäta distribution och upptäcka högpresterande avvikelser.

I beräkningsverktyget: Tillämpa Percentile på ett mått som Intäkter eller Besök och ange önskat percentilvärde (till exempel Percentile(Inkomster, 90)). Resultatet visar tröskelvärdet som 90 % av datapunkterna faller under.

TIP
Används för att ange prestandatester eller för att filtrera efter högpresterande dagar, kampanjer eller produkter.

Strömoperator power-operator

Effekt POWER OPERATOR(metric_X, metrix_Y)

Returnerar x upphöjt till y-potensen.

Argument
Beskrivning
metric_X
Det mått som du vill upphöja till måttet metric_Y.
metric_Y
Den kraft som du vill upphöja metric_X till.

Använd skiftläge: Höj ett tal eller ett mått så att det matchar kraften hos ett annat, till exempel dela ett värde eller tillämpa en exponentiell vikt. Detta är användbart när du modellerar tillväxt, skalförändringsvärden eller utför avancerade matematiska omformningar.

I beräkningsverktyget: Använd Strömoperator mellan två numeriska värden eller mätvärden. Till exempel: Intäkter ^ 2 ökar värdet Intäkter till den andra potensen.

TIP
Liknar funktionen Exponent men uttrycks som en matematisk operator, vilket ger mer kompakta formler inom beräknade värden.

Quartile quartile

Effekt QUARTILE(metric, quartile, include_zeros)

[Tabell]{class="badge neutral"} Returnerar kvartilen med värden för ett mätresultat. Du kan till exempel använda kvartilarna för att hitta de 25 % av de bästa produkterna som genererar störst intäkter. KOLUMN MINIMUM, MEDIAN och COLUMN MAXIMUM returnerar samma värde som QUARTILE när kvartilen är lika med 0 (noll), 2 respektive 4.

Argument
Beskrivning
mått
Måttet som du vill beräkna kvartilvärdet för.
kvartil
Anger vilket kvartilvärde som ska returneras.
include_zeros
Om nollvärden ska inkluderas eller inte i beräkningarna.

Använd fall: Dela upp en datauppsättning i fyra lika stora delar för att förstå hur värden fördelas, till exempel identifiera de 25 % av de översta dagarna med intäkter eller besök. Detta hjälper till att segmentera resultatet i rankade grupper för en djupare jämförelse.

I beräkningsverktyget: Tillämpa kvartil på ett mätresultat som Intäkt eller Besök och ange vilken kvartil som ska returneras (till exempel kvartil(Intäkt, 3) för att hitta tröskeln för den tredje kvartilen, eller 25 %).

TIP
Används för att gruppera värden i resultatnivåer som låga, medelhöga och högpresterande kampanjer eller produkter.

Ansökningstillfälle round

Effekt ROUND(metric, number)

Rund utan parametern number är samma som rund med parametern number på 0, det vill säga rund till närmaste heltal. Med parametern number returnerar ROUND siffrorna number till höger om decimaltalet. Om number är negativt returneras 0 till vänster om decimaltalet.

Argument
Beskrivning
mått
Det mätvärde som du vill runda av.
tal
Hur många siffror till höger om decimaltecknet som ska returneras. (Om värdet är negativt returneras nollor till vänster om decimaltecknet).

Använd skiftläge: Förenkla numeriska resultat genom att avrunda dem till ett angivet antal decimaler. Detta är praktiskt när du vill skapa tydligare visualiseringar eller göra beräknade mätvärden enklare att läsa i rapporter.

I beräkningsverktyget: Tillämpa Rund på ett mått eller uttryck och ange antalet decimaler. Till exempel: Rund(Konverteringsgrad, 2) avrundar värdet till två decimaler.

TIP
Används för att standardisera måttformatering för alla rapporter, särskilt när procentsatser eller valutavärden visas.

Fler exempel

ROUND( 314.15, 0) = 314
ROUND( 314.15, 1) = 314.1
ROUND( 314.15, -1) = 310
ROUND( 314.15, -2) = 300

Antal rader row-count

Effekt ROW COUNT()

Returnerar antalet rader för en given kolumn (antalet unika element som rapporteras inom en dimension). Unique-värden som överstiger räknas som 1.

Använd skiftläge: Räkna det totala antalet rader som returneras i en uppdelning eller datauppsättning, till exempel antalet dagar, kampanjer eller produkter som ingår i en rapport. Detta hjälper er att förstå hur många objekt som bidrar till er analys.

I beräkningsverktyget: Använd Radantal för att returnera det totala antalet rader i det aktuella uppdelnings- eller segmentet. Om du till exempel visar Intäkter av Produkt returnerar Radantal det antal produkter som visas.

TIP
Använd med andra funktioner som Kolumnsumma om du vill beräkna medelvärden manuellt (till exempel Kolumnsumma(Intäkter) / Radantal()).

Max rad row-max

Effekt ROW MAX(metric, include_zeros)

Maximalt antal kolumner för varje rad.

Argument
Beskrivning
mått
Kräver minst ett mått men kan ta valfritt antal mått som parametrar.
include_zeros
Om nollvärden ska inkluderas eller inte i beräkningarna.

Använd skiftläge: Identifiera det högsta värdet i alla mätvärden på en enda rad, till exempel för att avgöra vilket mätvärde (till exempel Intäkter, Beställningar eller Besök) som har det största värdet för en viss dag eller ett visst segment. Detta hjälper till att framhäva vilka mätvärden som leder inom varje datarad.

I beräkningsverktyget: Använd Maximalt radvärde när flera mått ingår i ett beräknat mått. Till exempel: Maximalt radantal(Intäkter, Beställningar, Besök) returnerar det största värdet för varje rad.

TIP
Används för att jämföra relaterade mätvärden sida vid sida och identifiera vilket som ger bäst prestanda inom varje rad.

Min rad row-min

Effekt ROW MIN(metric, include_zeros)

Minsta antal kolumner för varje rad.

Argument
Beskrivning
mått
Kräver minst ett mått men kan ta valfritt antal mått som parametrar.
include_zeros
Om nollvärden ska inkluderas eller inte i beräkningarna.

Använd skiftläge: Identifiera det lägsta värdet i alla mätvärden på en enda rad, till exempel för att hitta vilket mätvärde (till exempel Intäkter, Beställningar eller Besök) som har det minsta värdet för en viss dag eller ett visst segment. Detta hjälper till att hitta de svagaste mätvärdena i varje datarad.

I beräkningsverktyget: Använd minsta raden vid jämförelse av flera mått. Till exempel: Minsta radantal(Inkomster, Beställningar, Besök) returnerar det minsta värdet mellan dessa värden för varje rad.

TIP
Kombinera med Maximal rad för att beräkna prestandaintervall eller för att markera underpresterande mått sida vid sida.

Radsumma row-sum

Effekt ROW SUM(metric, include_zeros)

Summan av kolumnerna i varje rad.

Argument
Beskrivning
mått
Kräver minst ett mått men kan ta valfritt antal mått som parametrar.

Använd skiftläge: Lägg ihop värdena för flera mätvärden på en rad, till exempel summering av intäkter och skatt, för att beräkna totalt transaktionsvärde eller kombination av besök från olika källor. Detta bidrar till att sammanställa sammanhörande mätvärden till en enda summa.

I beräkningsverktyget: Använd radsumma för att kombinera flera mått. Till exempel: Radsumma(Intäkter, Moms) lägger till dessa två mått för varje rad i din uppdelning.

TIP
Används för att skapa kombinerade summor eller för att gruppera relaterade resultatindikatorer till ett enda beräknat mått.

Kvadratrot square-root

Effekt SQUARE ROOT(metric, include_zeros)

[Rad]{class="badge neutral"} Returnerar den positiva kvadratroten av ett tal. Kvadratroten av ett tal är värdet av talet upphöjt till 1/2.

Argument
Beskrivning
mått
Måttet som du vill beräkna kvadratroten för.

Använd skiftläge: Returnera kvadratroten av ett tal eller mätvärde, till exempel hitta variansroten vid beräkning av standardavvikelse eller normalisering av värden i en datamängd. Detta är användbart för avancerade beräkningar av statistik- eller dataomvandlingar.

I beräkningsverktyget: Använd kvadratroten på ett mått eller ett uttryck. Till exempel: Kvadratrot(Varians(Intäkter)) returnerar standardavvikelsen för Intäkter.

TIP
Använd när du behöver skala mätvärden proportionellt eller om du vill ha stöd för andra statistiska funktioner som är beroende av rotvärden.

Standardavvikelse standard-deviation

Effekt STANDARD DEVIATION(metric, include_zeros)

[Tabell]{class="badge neutral"} Returnerar standardavvikelsen, eller kvadratroten av variansen, baserat på en exempelpopulation med data.

Argument
Beskrivning
Det mått som du vill beräkna standardavvikelsen för.
include_zeros
Om nollvärden ska inkluderas eller inte i beräkningarna.

Använd fall: Mät hur mycket värden som skiljer sig från genomsnittet, till exempel hur konsekventa dagliga intäkter eller besök är över tid. Detta hjälper till att identifiera volatilitet, stabilitet eller ovanliga prestandaförändringar.

I beräkningsverktyget: Använd standardavvikelse på ett mätresultat som Intäkter eller Besök för att beräkna värdespridningen inom det valda nedbrytnings- eller datumintervallet. Exempel: Standardavvikelse(Intäkter) visar hur mycket daglig intäkt som avviker från medelvärdet.

TIP
Använd med Medel för att upptäcka avvikelser eller jämföra prestandans enhetlighet mellan kampanjer, produkter eller segment.

Varians variance

Effekt VARIANCE(metric, include_zeros)

[Tabell]{class="badge neutral"} Returnerar variansen baserat på en exempelpopulation med data.

Argument
Beskrivning
mått
Det mått som du vill beräkna variansen för.
include_zeros
Om nollvärden ska inkluderas eller inte i beräkningarna.

Använd skiftläge: Mät hur mycket värden i en datauppsättning spreds från medelvärdet, till exempel hur mycket daglig intäkt eller sessionslängd som varierar över tid. Detta hjälper till att kvantifiera graden av enhetlighet eller prestandfluktuationer.

I beräkningsverktyget: Använd avvikelse på ett mätvärde som Intäkt eller Använd tid per besök för att beräkna den genomsnittliga kvadratavvikelsen från medelvärdet. Exempel: Avvikelse(Intäkter) visar hur mycket intäktsvärden som skiljer sig från genomsnittet i det valda intervallet.

TIP
Använd med standardavvikelse för att bättre förstå datavariabilitet och identifiera områden med oförutsägbara prestanda.

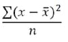
Ekvationen för VARIANS är:

{width="100"}

Där x är samplingsmedelvärdet är MEAN(metric) och n samplingsstorleken.

Om du vill beräkna en varians tittar du på en hel sifferkolumn. Från den listan med tal beräknar du först medelvärdet. När du har fått medelvärdet går du igenom varje post och gör följande:

  1. Subtrahera medelvärdet från talet.

  2. Fyrkantiga resultatet.

  3. Lägg till det till summan.

När du har itererat över hela kolumnen får du en totalsumma. Sedan dividerar du summan med antalet objekt i kolumnen. Talet är variansen för kolumnen. Det är ett enda tal. Den visas dock som en kolumn med siffror.

I exemplet med följande kolumn med tre objekt:

kolumn
1
2
3

Medelvärdet för den här kolumnen är 2. Kolumnens varians är ((1 - 2)2 + (2 - 2) + (3 - 2) /3) = 2/3.

recommendation-more-help
46b8682c-fda6-4669-9355-1a44923e549e