기본 함수

계산된 지표 빌더를 사용하면 통계 및 수학 함수를 적용할 수 있습니다. 이 문서는 함수 및 그 정의를 알파벳 순서로 나열한 것입니다.

NOTE
metric이 함수에서 인수로 식별되는 경우 지표의 다른 표현식도 허용됩니다. 예를 들어 열 최대값(지표)은(는) 열 최대값(페이지 보기 + 세션)도 허용합니다.

테이블 함수 대 행 함수

테이블 함수는 테이블의 모든 행에 대해 출력이 동일한 함수입니다. 행 함수는 테이블의 모든 행에 대해 출력이 다른 함수입니다.

해당 및 관련이 있는 경우 함수에 함수 유형이 주석([테이블]{class="badge neutral"} 또는 [행]{class="badge neutral"})으로 표시됩니다.

include-zeros 매개변수는 무엇을 의미합니까?

계산에 0을 포함할지 여부를 알려 줍니다. 때로 0은 아무것도 없다​는 뜻이지만 경우에 따라서는 중요합니다.

예를 들어 매출 지표가 있고, 그 다음에 페이지 조회수 지표를 보고서에 추가하는 경우, 모두 0인 매출 행이 갑자기 더 많아집니다. 이러한 추가 지표가 수익 열에 있는 MEAN, ROW MINIMUM, QUARTILE 등 계산에 영향을 미치는 것을 원하지 않을 수도 있습니다. include-zeros 매개변수를 확인해야 합니다.

다른 시나리오는 관심 있는 지표가 두 개이며, 하나는 일부 행이 0이기 때문에 평균 또는 최솟값이 더 높은 경우입니다. 이 경우 매개변수에 0을 포함하지 않도록 선택할 수 있습니다

절댓값 absolute-value

Effect ABSOLUTE VALUE(지표)

[행]{class="badge neutral"} 숫자의 절댓값을 반환합니다. 숫자의 절댓값은 양의 값을 갖는 숫자입니다.

인수
설명
지표
절댓값을 계산할 지표.

사용 사례: 매출 델타나 백분율 변경과 같이 음수 값을 생성할 수 있는 지표를 분석할 때 모든 결과가 양수인지 확인하십시오. 이는 방향에 상관 없이 변화의 크기에 초점을 맞추는 데 도움이 된다.

계산된 지표 빌더에서: 절대값 함수에서 지표나 식을 래핑합니다(예: 절대값(현재 수익 - 이전 수익). 이렇게 하면 음수 차이가 양수 값으로 변환됩니다.

TIP
성능 증가 또는 감소 여부에 관계없이 두 기간 또는 세그먼트 간의 절대 차이를 측정하는 데 사용합니다.

열 최댓값 column-maximum

Effect COLUMN MAXIMUM(지표, include_zeros)

지표 열에 대한 차원 요소 세트에서 가장 큰 값을 반환합니다. MAXV는 차원 열 전체에 걸쳐 단일 열(지표) 내에서 수직으로 평가됩니다.

인수
설명
지표
하나 이상의 지표가 필요하지만 여러 개의 지표를 매개변수로 사용할 수 있습니다.
include_zeros
계산에 0값을 포함할지 여부.

사용 사례: 방문 횟수가 가장 많은 날 또는 매출액이 가장 많은 제품과 같이 분류 내에서 가장 높은 값을 식별합니다. 이렇게 하면 카테고리 간에 최고 성능을 강조하는 데 도움이 됩니다.

계산된 지표 빌더에서: 또는 제품​별로 분류할 때 매출 또는 세션​과(와) 같은 지표에 열 최대값​을(를) 적용합니다. 이 함수는 각 행에 대해 해당 열에서 가장 큰 값을 반환합니다.

TIP
IF​(Revenue = 열 최대값​*(Revenue*), 1, 0)과 같은 ​** IF** 문을 사용하여 분류에서 가장 성과가 좋은 항목을 강조 표시합니다.

열 최솟값 column-minimum

Effect COLUMN MINIMUM(지표, include_zeros)

지표 열에 대한 차원 요소 세트에서 가장 작은 값을 반환합니다. MINV는 차원 열 전체에 걸쳐 단일 열(지표) 내에서 수직으로 평가됩니다.

인수
설명
지표
하나 이상의 지표가 필요하지만 여러 개의 지표를 매개변수로 사용할 수 있습니다.
include_zeros
계산에 0값을 포함할지 여부.

사용 사례: 전환율이 가장 낮은 캠페인 또는 매출이 가장 낮은 요일과 같이, 분류 내에서 성과가 가장 낮은 값을 식별합니다. 이렇게 하면 성과가 낮은 세그먼트를 빠르게 표시할 수 있습니다.

계산된 지표 빌더에서: Campaign 또는 단위로 분류할 때 매출 또는 전환율​과(와) 같은 지표에 열 최소값​을(를) 적용합니다. 이 함수는 각 행에 대해 해당 열에서 가장 작은 값을 반환합니다.

TIP
IF​(Revenue = 열 최소값​*(Revenue*), 1, 0)과 같은 ​** IF** 문을 사용하여 분류에서 성과가 가장 낮은 항목을 강조 표시하십시오.

열 합계 column-sum

Effect COLUMN SUM(지표)

열 내의 한 지표에 대한 모든 숫자 값을 추가합니다(차원의 요소들에 대해).

인수
설명
지표
하나 이상의 지표가 필요하지만 여러 개의 지표를 매개변수로 사용할 수 있습니다.

사용 사례: 모든 제품에 대한 총 매출액 또는 모든 일에 대한 총 방문 수와 같이 분류 내에 있는 모든 값의 합계를 계산합니다. 이렇게 하면 개별 행 값과 비교하기 위해 전체 합계가 필요한 경우에 도움이 됩니다.

계산된 지표 빌더에서: 제품 또는 ​별로 분류하면서 매출 또는 세션​과 같은 지표에 열 합계​를 적용합니다. 이 함수는 각 행에 대해 해당 열에 있는 모든 값의 합계를 반환합니다.

TIP
총 성능의 지분 또는 백분율을 계산하기 위해 전체 합계에 대한 참조가 필요한 경우 사용합니다.

개수 count

Effect COUNT(지표)

[테이블]{class="badge neutral"} 열 내의 한 지표에 대한 0이 아닌 모든 숫자 값의 개수 또는 카운트를 반환합니다(한 차원 내에서 보고된 고유 요소의 수).

인수
설명
지표
카운트할 지표.

사용 사례: 날짜 범위의 일 수 또는 분류의 제품 수와 같이 계산에 포함된 데이터 요소의 수를 계산합니다. 이렇게 하면 집계된 값에 기여하는 항목 수를 알아야 할 때 도움이 됩니다.

계산된 지표 빌더에서: 세션 또는 매출​과 같은 지표에 Count​을(를) 적용하여 현재 분류 또는 날짜 범위에 포함된 총 행 수(또는 데이터 포인트)를 반환합니다.

TIP
열 합계​와 함께 사용하여 평균을 수동으로 계산합니다(예: 열 합계(수입) / 개수(수입).

지수 exponent

Effect EXPONENT(지표)

[Row]{class="badge neutral"}은(는) 지정한 숫자의 거듭제곱으로 e​을(를) 반환합니다. 상수 e​은(는) 자연 로그의 밑인 2.71828182845904과(와) 같습니다. 지수는 숫자의 자연 로그인 LN의 역함수입니다.

인수
설명
지표
기본 e​에 적용된 지수입니다.

사용 사례: e​을(를) 지정한 숫자 또는 지표의 거듭제곱으로 늘립니다. 이는 증가 트렌드를 모델링하거나 지표를 기하급수적으로 확장할 때 유용합니다.

계산된 지표 빌더에서: 지표에 Exponent​을(를) 사용합니다. 예를 들어 Exponent(세션)은 세션 지표의 힘으로 e​을(를) 증가시킵니다.

TIP
성장 패턴을 비교할 때 고급 모델링을 위해 로그​와 결합하거나 변수가 많은 데이터를 매끄럽게 만듭니다.

평균 mean

Effect MEAN(지표, include_zeros)

[테이블]{class="badge neutral"} 열에 있는 지표에 대한 산술 평균 또는 평균을 반환합니다.

인수
설명
지표
평균을 계산할 지표.
include_zeros
계산에 0값을 포함할지 여부.

사용 사례: 일일 평균 매출액 또는 캠페인당 평균 방문 수와 같은 값 집합의 산술 평균을 계산합니다. 이렇게 하면 데이터 세트 내의 개별 값을 비교하기 위한 기준선을 설정하는 데 도움이 됩니다.

계산된 지표 빌더에서: 수입 또는 세션​과(와) 같은 지표에 평균​을(를) 적용하여 선택한 분류 또는 날짜 범위의 모든 데이터 포인트에 대한 평균 값을 반환합니다.

TIP
을(를) 사용하여 전반적인 성능 추세를 이해하거나 표준 편차​와(과) 결합하여 평균에 대한 일관성을 측정합니다.

중간값 median

Effect MEDIAN(지표, include_zeros)

[테이블]{class="badge neutral"} 열에 있는 지표에 대한 중간값을 반환합니다. 중간은 숫자 세트의 중간에 있는 숫자입니다. 즉, 이 값의 반은 중간값보다 크거나 같은 값이고 다른 반은 중간값보다 작거나 같습니다.

인수
설명
지표
중간값을 계산할 지표.
include_zeros
계산에 0값을 포함할지 여부.

사용 사례: 일일 평균 매출액 또는 방문당 페이지 보기 수 중앙값과 같은 데이터 집합의 중간값을 식별합니다. 이는 이상값의 영향을 줄이고 데이터의 중심 경향을 보려는 경우에 유용합니다.

계산된 지표 빌더에서: 매출액 또는 페이지 보기 수와 같은 지표에 중간값을 적용하여 선택한 분류 또는 날짜 범위의 모든 데이터 포인트에서 중간값을 반환합니다.

TIP
데이터에 평균을 왜곡할 수 있는 매우 높거나 낮은 내용이 포함되어 있는 경우 평균 대신 사용합니다.

모듈로 modulo

Effect MODULO(metric_X, metric_Y)

유클리드 분할을 사용하여 x를 y로 나눈 후 나머지를 반환합니다.

인수
설명
metric_X
분할하려는 첫 번째 지표.
metric_Y
분할하려는 두 번째 지표.

사용 사례: 한 숫자를 다른 숫자로 나눈 후 나머지를 반환합니다. 이는 매 n일마다 식별하거나 시퀀스에서 캠페인을 수행하는 것과 같이, 순환 또는 반복 패턴에 유용할 수 있습니다.

계산된 지표 빌더에서: 두 개의 숫자 입력에 모듈로​을 사용합니다. 예를 들어 Modulo(일 번호, 7)은 일 번호를 7로 나눈 후 나머지를 반환합니다. 이렇게 하면 주별로 데이터를 그룹화하는 데 도움이 될 수 있습니다.

TIP
조건부 논리와 결합하여 반복 간격을 강조 표시하거나 반복 주기를 기반으로 데이터를 세그먼트화합니다.

추가 예

반환 값의 부호는 입력과 같습니다(또는 0임).

MODULO(4,3) = 1
MODULO(-4,3) = -1
MODULO(-3,3) = 0

항상 양수를 얻으려면 다음을 사용합니다

MODULO(MODULO(x,y)+y,y)

백분위수 percentile

Effect PERCENTILE(지표, k, include_zeros)

[Table]{class="badge neutral"} 0~100 사이의 값인 n번째 백분위수를 반환합니다. N < 0이면 이 함수는 0을 사용합니다. N > 100이면 이 함수는 100을 반환합니다.

인수
설명
지표
0에서 100까지 범위의 백분위수 값.
k
상대적 순위를 정의하는 지표 열.
include_zeros
계산에 0값을 포함할지 여부.

사용 사례: 일일 매출 또는 페이지 보기의 90번째 백분위수와 같이 지정된 비율의 데이터 포인트가 속하는 값을 식별합니다. 이는 분포를 측정하고 고성능 이상치를 감지하는 데 도움이 됩니다.

계산된 지표 빌더에서: 매출 또는 세션​과 같은 지표에 백분위수​을(를) 적용하고 원하는 백분위수 값(예: 백분위수(매출, 90))을 지정하십시오. 이 결과는 데이터 포인트의 90%가 아래로 떨어지는 임계값을 보여 줍니다.

TIP
성과 벤치마크를 설정하거나 최상의 성과를 보이는 날짜, 캠페인 또는 제품을 필터링하는 데 사용합니다.

거듭제곱 연산자 power-operator

Effect POWER OPERATOR(metric_X, metrix_Y)

x를 y의 거듭제곱으로 반환합니다.

인수
설명
metric_X
metric_Y 거듭제곱으로 올리려는 지표.
metric_Y
metric_X를 높이려는 거듭제곱.

사용 사례: 값을 제곱하거나 지수 가중치를 적용하는 것과 같이 한 숫자 또는 지표를 다른 숫자의 거듭제곱으로 늘립니다. 이는 성장을 모델링하거나, 값을 확장하거나, 고급 수학 변환을 수행할 때 유용합니다.

계산된 지표 빌더에서: 두 숫자 값 또는 지표 사이에 Power 연산자를 사용​합니다. 예를 들어 Revenue ^ 2는 Revenue 값을 두 번째 단위로 늘립니다.

TIP
Exponent 함수와 유사하지만 수학 연산자로 표시되어 계산된 지표 내에서 보다 작은 수식을 허용합니다.

사분위수 quartile

Effect QUARTILE(지표, 사분위수, include_zeros)

[테이블]{class="badge neutral"} 지표에 대한 값들의 사분위수를 반환합니다. 예를 들어 사분위수는 대부분의 매출을 파생시키는 상위 25%의 제품을 찾는 데 사용될 수 있습니다. COLUMN MINIMUM, MEDIANCOLUMN MAXIMUM은 사분위수가 각각 0(영), 24와 같을 때 QUARTILE와 동일한 값을 반환합니다.

인수
설명
지표
사분위수 값을 계산할 지표.
사분위수
반환할 사분위수 값을 나타냅니다.
include_zeros
계산에 0값을 포함할지 여부.

사용 사례: 매출 또는 방문 횟수로 상위 25%를 식별하는 것과 같이 값이 배포되는 방식을 이해하도록 데이터 집합을 4등분 합니다. 이렇게 하면 성능을 보다 심층적인 비교를 위해 등급 그룹으로 세분화하는 데 도움이 됩니다.

계산된 지표 빌더에서: Revenue 또는 Sessions​과 같은 지표에 Quartile​을(를) 적용하고 반환할 사분위수(예: Quartile(Revenue, 3)를 지정하여 세 번째 사분위수에 대한 임계값을 찾거나 상위 25%)를 지정하십시오.

TIP
을 사용하여 낮은 성과, 중간 성과 및 높은 성과의 캠페인 또는 제품과 같은 성과 계층으로 값을 그룹화합니다.

반올림 round

Effect ROUND(지표, 숫자)

숫자 매개변수가 없는 반올림은 숫자 매개변수가 0인 반올림과 같습니다. 즉 가장 가까운 정수로 반올림하는 것과 같습니다. 숫자 매개변수를 사용하면 ROUND는 숫자 자리를 소수점 이하 오른쪽에 반환합니다. 숫자​가 음수이면 소수의 왼쪽에 0들을 반환합니다.

인수
설명
지표
반올림할 지표.
숫자
소수점 오른쪽에 몇 자리까지 반환할 것인가. (음수이면 소수점 왼쪽에 0이 반환됩니다).

사용 사례: 지정한 소수 자릿수로 반올림하여 숫자 결과를 단순화합니다. 이 기능은 시각화를 더 깔끔하게 만들거나 계산된 지표를 보고서에서 더 쉽게 읽을 수 있도록 하는 데 유용합니다.

계산된 지표 빌더에서: 지표 또는 식에 Round​을(를) 적용하고 소수점 이하 자릿수를 지정하십시오. 예: Round(전환율, 2)은 값을 소수점 두 자리로 반올림합니다.

TIP
특히 백분율 또는 통화 값을 표시할 때 를 사용하여 보고서 간 지표 서식을 표준화할 수 있습니다.

추가 예

ROUND( 314.15, 0) = 314
ROUND( 314.15, 1) = 314.1
ROUND( 314.15, -1) = 310
ROUND( 314.15, -2) = 300

행 수 row-count

Effect ROW COUNT()

주어진 열에 대해 행 수를 반환합니다(차원 내에 보고된 고유 요소 수). 고유 수 초과​는 1로 간주됩니다.

사용 사례: 보고서에 포함된 일 수, 캠페인 또는 제품 수와 같이 분류 또는 데이터 세트에서 반환된 총 행 수를 계산합니다. 이렇게 하면 분석에 기여하는 항목의 수를 이해하는 데 도움이 됩니다.

계산된 지표 빌더에서: 행 수​를 적용하여 현재 분류 또는 세그먼트에 있는 총 행 수를 반환합니다. 예를 들어 Product​에서 Revenue​을(를) 볼 때 Row Count​은(는) 표시된 제품 수를 반환합니다.

TIP
열 합계​와 같은 다른 함수와 함께 사용하여 평균을 수동으로 계산합니다(예: 열 합계(수입) / 행 수()).

행 최댓값 row-max

Effect ROW MAX(지표, include_zeros)

각 행의 열 최댓값.

인수
설명
지표
하나 이상의 지표가 필요하지만 여러 개의 지표를 매개변수로 사용할 수 있습니다.
include_zeros
계산에 0값을 포함할지 여부.

사용 사례: 특정 날짜나 세그먼트에 대해 가장 큰 값을 갖는 지표(예: 매출, 주문 또는 세션)를 확인하는 등 단일 행의 모든 지표에서 가장 높은 값을 식별합니다. 이렇게 하면 각 데이터 행 내에서 리드하는 지표를 강조 표시하는 데 도움이 됩니다.

계산된 지표 빌더에서: 계산된 지표에 여러 지표가 포함된 경우 행 최대값​을 적용합니다. 예를 들어 행 최대값(매출, 주문, 세션)은 각 행에 대해 해당 지표 중 가장 큰 값을 반환합니다.

TIP
를 사용하여 관련 지표를 나란히 비교하고 각 행 내에서 성능에 가장 많이 기여하는 지표를 식별합니다.

행 최솟값 row-min

Effect ROW MIN(지표, include_zeros)

각 행의 열 최솟값.

인수
설명
지표
하나 이상의 지표가 필요하지만 여러 개의 지표를 매개변수로 사용할 수 있습니다.
include_zeros
계산에 0값을 포함할지 여부.

사용 사례: 특정 날짜나 세그먼트에 대해 가장 작은 값을 갖는 지표(예: 매출, 주문 또는 세션)를 찾는 것과 같이, 단일 행의 모든 지표에서 가장 낮은 값을 식별합니다. 이렇게 하면 각 데이터 행 내에서 가장 성과가 낮은 지표를 찾을 수 있습니다.

계산된 지표 빌더에서: 여러 지표를 비교할 때 행 최소값​을 적용합니다. 예를 들어 행 최소값(매출, 주문, 세션)은 각 행에 대한 지표 중 가장 작은 값을 반환합니다.

TIP
행 최대값과 결합하여 성능 범위를 계산하거나 병렬 비교에서 성과가 낮은 지표를 강조 표시합니다.

행 합계 row-sum

Effect ROW SUM(지표, include_zeros)

각 행의 열 합계.

인수
설명
지표
하나 이상의 지표가 필요하지만 여러 개의 지표를 매개변수로 사용할 수 있습니다.

사용 사례: 매출​과 세금​을 합하여 총 거래 값을 계산하거나 서로 다른 원본의 세션​을 결합하는 것과 같이 단일 행 내에 여러 지표의 값을 함께 추가합니다. 이렇게 하면 관련 지표를 하나의 합계로 통합하는 데 도움이 됩니다.

계산된 지표 빌더에서: 행 합계​를 적용하여 여러 지표를 결합합니다. 예를 들어 행 합계(매출, 세금)는 분류의 각 행에 대해 이러한 두 지표를 추가합니다.

TIP
결합된 합계를 만들거나 관련 성과 지표를 단일 계산된 지표로 그룹화하는 데 사용합니다.

제곱근 square-root

Effect 제곱근(지표, include_zeros)

[Row]{class="badge neutral"} 숫자의 양의 제곱근을 반환합니다. 숫자의 제곱근은 해당 숫자의 1/2 거듭제곱 값입니다.

인수
설명
지표
제곱근을 계산할 지표.

사용 사례: 데이터 집합에서 표준 편차 또는 정규화 값을 계산할 때 분산 루트 찾기와 같이 숫자 또는 지표의 제곱근을 반환합니다. 이 기능은 고급 통계 또는 데이터 변환 계산에 유용합니다.

계산된 지표 빌더에서: 지표 또는 식에 제곱근​을 적용합니다. 예: 제곱근(Variance(수익))은 수익​의 표준 편차를 반환합니다.

TIP
지표의 크기를 비례적으로 조정해야 하거나 루트 값에 의존하는 다른 통계 함수를 지원해야 하는 경우에 사용합니다.

표준 편차 standard-deviation

Effect 표준편차(지표, include_zeros)

[테이블]{class="badge neutral"} 데이터의 표본 집단을 기반으로 표준 편차나 분산의 제곱근을 반환합니다.

인수
설명
표준 편차를 계산할 지표.
include_zeros
계산에 0값을 포함할지 여부.

사용 사례: 일별 매출이나 방문 횟수가 시간에 따라 얼마나 일관되는지 평가하는 등 평균과 값이 얼마나 다른지 측정합니다. 이는 변동성, 안정성 또는 비정상적인 성과 변동을 식별하는 데 도움이 됩니다.

계산된 지표 빌더에서: 매출 또는 세션​과 같은 지표에 표준 편차​를 적용하여 선택한 분류 또는 날짜 범위 내의 값 스프레드를 계산합니다. 예를 들어 표준 편차(매출)은 일별 매출이 평균에서 얼마나 벗어나는지를 보여줍니다.

TIP
평균​과 함께 사용하여 예외 항목을 감지하거나 캠페인, 제품 또는 세그먼트 간 성능의 일관성을 비교하십시오.

분산 variance

Effect VARIANCE(지표, include_zeros)

[테이블]{class="badge neutral"} 데이터의 표본 집단을 기반으로 분산을 반환합니다.

인수
설명
지표
분산 계산할 지표.
include_zeros
계산에 0값을 포함할지 여부.

사용 사례: 일별 매출 또는 세션 기간이 시간에 따라 얼마나 달라지는지 분석하는 등 데이터 집합의 값이 평균에서 얼마나 멀리 퍼져있는지 측정합니다. 이는 성능의 일관성 또는 변동 정도를 정량화하는 데 도움이 된다.

계산된 지표 빌더에서: 매출 또는 방문당 체류 시간​과 같은 지표에 분산​을 적용하여 평균과 평균 제곱 편차를 계산합니다. 예를 들어 Variance(Revenue)은 선택한 범위에 대해 평균과 다른 수익 값을 표시합니다.

TIP
표준 편차​와 함께 사용하면 데이터 가변성을 더 잘 이해하고 예측할 수 없는 성능의 영역을 식별할 수 있습니다.

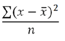
VARIANCE 방정식은 다음과 같습니다.

{width="100"}

여기서 x​는 샘플 평균 MEAN(지표)이고 n​은 샘플의 크기입니다.

분산을 계산하려면 전체 숫자 열을 확인합니다. 그 숫자 목록에서 먼저 평균을 계산합니다. 평균을 계산한 다음 각 항목으로 이동하여 다음 작업을 수행합니다.

  1. 숫자에서 평균을 뺍니다.

  2. 계산 결과를 제곱합니다.

  3. 그 값을 총계에 더합니다.

전체 열에 대해 반복하여 총계 값을 하나 얻습니다. 그 총계를 열의 항목 수(열 개수)로 나눕니다. 해당 숫자는 열의 변량입니다. 단일 번호입니다. 그러나 숫자 열로 표시됩니다.

다음 3개 항목 열의 예:

1
2
3

이 열의 평균은 2입니다. 열의 분산은((1 - 2)2 +(2 - 2)2 +(3 - 2)2/3 = 2/3입니다.

recommendation-more-help
analytics-platform-help-main