基本関数

計算指標ビルダーでは、統計関数および数学関数を適用できます。この記事では、関数とその定義をアルファベット順に示します。

NOTE
metric が関数の引数として特定されている場合は、指標の他の式も許可されます。例えば、COLUMN MAXIMUM(metrics)COLUMN MAXIMUM(PageViews + Visits) としてもかまいません。

表関数と行関数

テーブル関数とは、テーブルの行ごとに出力が同じである関数です。 行関数とは、テーブルの行ごとに出力が異なる関数です。

該当する場合および関連する場合、関数には、関数のタイプで注釈が付けられます。[テーブル]{class="badge neutral"}または[行]{class="badge neutral"}

ゼロを含むパラメーターとは

このパラメーターは、計算にゼロを含むかどうかを示します。ゼロは​ 何もない ​ことを意味する場合もあれば、重要な意味を持つ場合もあります。

例えば、売上高の指標がある場合に、ページビュー数の指標をレポートに追加すると、すべてゼロの売上高の行が突然表示されます。その追加の指標が MEAN(平均値)、ROW MINIMUM(行の最小値)、QUARTILE(四分位数)および売上高列にあるその他の計算に影響を与えることは避けるべきです。この場合は、include-zeros パラメーターを確認します。

別のシナリオとして、2 つの目標指標があり、一方の指標の平均または最小値が高くなるのは、一部の行がゼロであるためです。その場合、パラメーターにゼロを含めるかどうかを確認しないことを選択できます。

絶対値 absolute-value

効果 ABSOLUTE VALUE(metric)

[行]{class="badge neutral"} 数値の絶対値を返します。数値の絶対値は、正の値を持つ数値です。

引数
説明
指標
絶対値を求める指標です。

列の最大値 column-maximum

効果 COLUMN MAXIMUM(metric, include_zeros)

指標列の一連のディメンション要素の中の最大値を返します。MAXV は、ディメンション要素をまたいで、1 つの列(指標)内を垂直方向に評価します。

引数
説明
指標
少なくとも 1 つの指標が必要ですが、任意の数の指標をパラメーターとして指定できます。
include_zeros
計算にゼロ値を含めるかどうか。

列の最小値 column-minimum

効果 COLUMN MINIMUM(metric, include_zeros)

指標列の一連のディメンション要素の中の最小値を返します。MINV は、ディメンション要素をまたいで、1 つの列(指標)内を垂直方向に評価します。

引数
説明
指標
少なくとも 1 つの指標が必要ですが、任意の数の指標をパラメーターとして指定できます。
include_zeros
計算にゼロ値を含めるかどうか。

列の合計値 column-sum

効果 COLUMN SUM(metric)

(1 つのディメンションの複数の要素の)1 つの列内の指標のすべての数値を加算します。

引数
説明
指標
少なくとも 1 つの指標が必要ですが、任意の数の指標をパラメーターとして指定できます。

カウント count

効果 COUNT(metric)

[テーブル]{class="badge neutral"} 1 つの列内の指標のゼロ以外の値の数(カウント)(ディメンション内でレポートされた一意の要素の数)を返します。

引数
説明
指標
カウントする指標です。

指数 exponent

効果 EXPONENT(metric)

[行]{class="badge neutral"} 指定された数値の累乗した e を返します。定数 e は、自然対数のベースである 2.71828182845904 に等しくなります。EXPONENT(指数)は LN(数の自然対数)の逆関数です。

引数
説明
指標
底 e に適用される指数です。

平均 mean

効果 MEAN(metric, include_zeros)

[テーブル]{class="badge neutral"} 1 つの列の指標の算術平均(平均値)を返します。

引数
説明
指標
平均を求める指標です。
include_zeros
計算にゼロ値を含めるかどうか。

中央値 median

効果 MEDIAN(metric, include_zeros)

[テーブル]{class="badge neutral"} 1 つの列の指標の中央値を返します。中央値は、一連の数の中央にある数値です。つまり、数の半分は中央値よりも大きいか等しい値であり、残りの半分は中央値よりも小さいか等しい値です。

引数
説明
指標
中央値を求める指標です。
include_zeros
計算にゼロ値を含めるかどうか。

モジュロ modulo

効果 MODULO(metric_X, metric_Y)

ユークリッド除法 で x を y で割った余りを返します。

引数
説明
metric_X
除算する最初の指標。
metric_Y
除算する 2 番目の指標。

返される値の符号は入力した値の符号と同じです(またはゼロが返されます)。

MODULO(4,3) = 1
MODULO(-4,3) = -1
MODULO(-3,3) = 0

常に正の数を求めるには、次の構文を使用します。

MODULO(MODULO(x,y)+y,y)

パーセンタイル percentile

効果 PERCENTILE(metric, k, include_zeros)

[テーブル]{class="badge neutral"} 0~100 の値である、n 番目のパーセンタイルを返します。n < 0 の場合、関数は 0 を使用します。n > 100 の場合、関数は 100 を返します。

引数
説明
指標
0 ~ 100(0 と 100 を含む)の範囲のパーセンタイル値です。
k
相対的な値を定義する指標列です。
include_zeros
計算にゼロ値を含めるかどうか。

累乗演算子 power-operator

効果 POWER OPERATOR(metric_X, metrix_Y)

x の y 乗を返します。

引数
説明
metric_X
metric_Y の累乗に上げる指標です。
metric_Y
metric_X を何乗まで上げるかを示します。

四分位数 quartile

効果 QUARTILE(metric, quartile, include_zeros)

[テーブル]{class="badge neutral"} 指標の値の四分位数を返します。例えば、四分位数を使用して、最も売上高の多い上位 25 %の製品を探すことができます。COLUMN MINIMUMMEDIAN、および COLUMN MAXIMUM は、四分位数がそれぞれ 0(ゼロ)、24 に等しい場合、QUARTILE と同じ値を返します。

引数
説明
指標
四分位数値を求める指標です。
四分位数
四分位数として返す値を示します。
include_zeros
計算にゼロ値を含めるかどうか。

四捨五入 round

効果 ROUND(metric, number)

数値​パラメーターのない四捨五入は、数値​パラメーターが 0 の四捨五入と同じで、直近の整数に四捨五入します。数値​パラメーターがある場合、ROUND は小数点の右側に​ ​桁を返します。​が負数の場合、小数点の左側に 0 が返されます。

引数
説明
metric
四捨五入する指標です。
小数点の右側に返す桁数。(負の数が小数点の左側に 0 を返す場合)。

ROUND( 314.15, 0) = 314
ROUND( 314.15, 1) = 314.1
ROUND( 314.15, -1) = 310
ROUND( 314.15, -2) = 300

行数 row-count

効果 ROW COUNT()

指定された列の行の数(ディメンション内でレポートされた一意の要素の数)を返します。超過したユニーク数​は 1 としてカウントされます。

行の最大値 row-max

効果 ROW MAX(metric, include_zeros)

各行の列の最大値。

引数
説明
指標
少なくとも 1 つの指標が必要ですが、任意の数の指標をパラメーターとして指定できます。
include_zeros
計算にゼロ値を含めるかどうか。

行の最小値 row-min

効果 ROW MIN(metric, include_zeros)

各行の列の最小値。

引数
説明
指標
少なくとも 1 つの指標が必要ですが、任意の数の指標をパラメーターとして指定できます。
include_zeros
計算にゼロ値を含めるかどうか。

行の合計 row-sum

効果 ROW SUM(metric, include_zeros)

各行の列の合計。

引数
説明
指標
少なくとも 1 つの指標が必要ですが、任意の数の指標をパラメーターとして指定できます。

平方根 square-root

効果 SQUARE ROOT(metric, include_zeros)

[行]{class="badge neutral"} 数値の正の平方根を返します。数値の平方根は、その数値を 1/2 乗した値です。

引数
説明
指標
平方根を求める指標です。

標準偏差 standard-deviation

効果 STANDARD DEVIATION(metric, include_zeros)

[テーブル]{class="badge neutral"} データのサンプル母集団に基づいて標準偏差(平方偏差の平方根)を返します。

引数
説明
標準偏差を求める指標です。
include_zeros
計算にゼロ値を含めるかどうか。

平方偏差 variance

効果 VARIANCE(metric, include_zeros)

[テーブル]{class="badge neutral"} データのサンプル母集団に基づいて平方偏差を返します。

引数
説明
指標
平方偏差を計算する指標です。
include_zeros
計算にゼロ値を含めるかどうか。

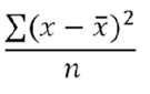
VARIANCE の式は次のようになります。

{width="100"}

ここで、x はサンプルの平均値 MEAN(metric) であり、n はサンプルサイズです。

平方偏差を計算するには、数字の列全体を見ます。まず、すべての数字の平均を求めます。平均を求めたら、各数字に対して次の計算を行います。

  1. 数字から平均を減算します。

  2. 結果を 2 乗します。

  3. その結果を合計に加算します。

この計算をすべての列に対して実行したら、1 つの合計を求めます。次に、その合計を列内の項目の数で割ります。 この数値が列の差異になります。 これは単一の数値です。 ただし、数値の列として表示されます。

次の 3 項目列の例では、

1
2
3

この列の平均は 2 です。 この列の平方偏差は、((1 - 2)2 + (2 - 2)2 + (3 - 2)2/3) = 2/3 です。

recommendation-more-help
080e5213-7aa2-40d6-9dba-18945e892f79