Fonctions de base

Le créateur de mesures calculées vous permet d’appliquer des fonctions statistiques et mathématiques. Cet article comprend une liste alphabétique des fonctions ainsi que leurs définitions.

NOTE
Lorsque metric est identifié en tant qu’argument d’une fonction, d’autres expressions des mesures sont également autorisées. Par exemple, la mention COLUMN MAXIMUM(metrics) autorise également COLUMN MAXIMUM(PageViews + Sessions).

Fonctions de tableau et fonctions de ligne

Une fonction de tableau consiste à ce que la sortie soit la même pour chaque ligne du tableau. Une fonction de ligne consiste à ce que la sortie soit différente pour chaque ligne du tableau.

Le cas échéant et lorsque c’est utile, une fonction est annotée avec le type de fonction : [Tableau]{class="badge neutral"} ou [Ligne]{class="badge neutral"}.

Que signifie le paramètre d’inclusion de zéros ?

Il indique s’il faut inclure des zéros dans le calcul. Parfois, zéro signifie rien mais parfois, c’est important.

Par exemple, en présence d’une mesure Revenus, vous ajoutez une mesure Pages vues au rapport. Soudain, des lignes supplémentaires apparaissent pour vos revenus, qui contiennent toutes zéro. Vous ne souhaitez probablement pas que cette mesure supplémentaire affecte les éléments MEAN, ROW MINIMUM, QUARTILE et d’autres calculs que vous avez dans la colonne des revenus. Dans ce cas, vous devez activer le paramètre include-zeros.

Un autre scénario consiste à utiliser deux mesures intéressantes, l’une ayant une moyenne ou un minimum supérieur, car certaines lignes sont des zéros. Dans ce cas, vous pouvez choisir de ne pas activer le paramètre pour inclure des zéros.

Valeur absolue absolute-value

Effet ABSOLUTE VALUE(metric)

[Row]{class="badge neutral"} renvoie la valeur absolue d’un nombre. La valeur absolue d’un nombre est le nombre doté d’une valeur positive.

Argument
Description
metric
Mesure pour laquelle vous souhaitez calculer la valeur absolue.

Cas d’utilisation : assurez-vous que tous les résultats sont positifs lors de l’analyse des mesures qui peuvent produire des valeurs négatives, telles que des deltas de revenus ou des modifications en pourcentage. Cela permet de se concentrer sur l’ampleur du changement sans tenir compte de la direction.

Dans le créateur de mesures calculées : encapsulez votre mesure ou expression dans la fonction Valeur absolue, par exemple : Valeur absolue(Chiffre d’affaires actuel - Chiffre d’affaires précédent). Toutes les différences négatives sont ainsi converties en valeurs positives.

TIP
Utilisez cette option pour mesurer les différences absolues entre deux périodes ou segments, que les performances aient augmenté ou diminué.

Column Maximum column-maximum

Effet COLUMN MAXIMUM(metric, include_zeros)

Renvoie la valeur la plus grande d’un ensemble d’éléments de dimension pour une colonne de mesures. MAXV évalue verticalement dans une seule colonne (mesure) sur l’ensemble des éléments de dimension.

Argument
Description
metric
Nécessite au moins une mesure, mais peut prendre n’importe quel nombre de mesures en tant que paramètres.
include_zeros
Inclut ou non des valeurs nulles dans les calculs.

Cas d’utilisation : identifier la valeur la plus élevée dans une répartition, telle que le jour où le nombre de visites est le plus élevé ou le produit dont le chiffre d’affaires est le plus élevé. Cela permet de mettre en évidence la performance maximale entre les catégories.

Dans le créateur de mesures calculées : appliquez Colonne maximale à une mesure telle que Revenu ou Sessions lors de la répartition par Jour ou Produit. La fonction renvoie la plus grande valeur de cette colonne pour chaque ligne.

TIP
Utilisez une instruction IF telle que IF(Revenue = Column Maximum*(Revenue*), 1, 0) pour mettre en surbrillance l’élément le plus performant de votre répartition.

Column Minimum column-minimum

Effet COLUMN MINIMUM(metric, include_zeros)

Renvoie la valeur la plus petite d’un ensemble d’éléments de dimension pour une colonne de mesures. MINV évalue verticalement dans une seule colonne (mesure) sur l’ensemble des éléments de dimension.

Argument
Description
metric
Nécessite au moins une mesure, mais peut prendre n’importe quel nombre de mesures en tant que paramètres.
include_zeros
Inclut ou non des valeurs nulles dans les calculs.

Cas d’utilisation : identifier la valeur la moins performante dans une répartition, par exemple la campagne avec le moins de conversions ou le jour avec le revenu le plus faible. Cela permet de faire rapidement apparaître les segments peu performants.

Dans le créateur de mesures calculées : appliquez minimum de colonne à une mesure telle que Chiffre d’affaires ou Taux de conversion lors de la répartition par Campagne ou Jour. La fonction renvoie la plus petite valeur de cette colonne pour chaque ligne.

TIP
Utilisez une instruction IF telle que IF(Revenue = Column Minimum*(Revenue*), 1, 0) pour mettre en surbrillance l’élément le moins performant de votre répartition.

Column Sum column-sum

Effet COLUMN SUM(metric)

Ajoute toutes les valeurs numériques d’une mesure dans une colonne (sur l’ensemble des éléments d’une dimension).

Argument
Description
metric
Nécessite au moins une mesure, mais peut prendre n’importe quel nombre de mesures en tant que paramètres.

Cas d’utilisation : calculez le total de toutes les valeurs dans une répartition, telles que le chiffre d’affaires total sur tous les produits ou le nombre total de visites sur tous les jours. Cela s’avère utile lorsque vous avez besoin d’un total global à comparer aux valeurs de lignes individuelles.

Dans le créateur de mesures calculées : appliquez somme des colonnes à une mesure telle que Chiffre d’affaires ou Sessions tout en répartissant par Produit ou Jour. La fonction renvoie le total de toutes les valeurs de cette colonne pour chaque ligne.

TIP
À utiliser lorsque vous avez besoin d’une référence au total global pour calculer des parts ou des pourcentages de performance totale.

Count count

Effet COUNT(metric)

[Table]{class="badge neutral"} renvoie le nombre, ou le décompte, des valeurs différentes de zéro pour une mesure dans une colonne (le nombre d’éléments uniques signalés dans une dimension).

Argument
Description
metric
Mesure que vous souhaitez compter.

Cas d’utilisation : comptez le nombre de points de données inclus dans un calcul, tel que le nombre de jours dans une période ou le nombre de produits dans une répartition. Cela s’avère utile lorsque vous devez connaître le nombre d’éléments qui contribuent à une valeur agrégée.

Dans le créateur de mesures calculées : appliquez Nombre à une mesure telle que Sessions ou Chiffre d’affaires pour renvoyer le nombre total de lignes (ou de points de données) inclus dans la répartition ou la période en cours.

TIP
Utilisez avec Somme des colonnes pour calculer manuellement les moyennes (par exemple, Somme des colonnes(Chiffre d’affaires) / Compte(Chiffre d’affaires)).

Exponent exponent

Effet EXPONENT(metric)

[Row]{class="badge neutral"} Renvoie e élevé à la puissance d’un nombre donné. La constante e est égale à 2,71828182845904, la base du logarithme népérien. EXPONENT est l’inverse de LN, le logarithme népérien d’un nombre.

Argument
Description
metric
Exposant appliqué à la base e.

Cas d’utilisation : augmente e à la puissance d’un nombre ou d’une mesure donnée. Cela s’avère utile lors de la modélisation des tendances de croissance ou de la mise à l’échelle exponentielle d’une mesure.

Dans le créateur de mesures calculées : utilisez Exposant avec une mesure. Par exemple : Exposant(Sessions) élève e à la puissance de la mesure Sessions.

TIP
Combinez-la avec Logarithme pour une modélisation avancée ou pour lisser les données très variables lors de la comparaison des modèles de croissance.

Mean mean

Effet MEAN(metric, include_zeros)

[Table]{class="badge neutral"} renvoie la moyenne arithmétique, ou moyenne, pour une mesure dans une colonne.

Argument
Description
metric
Mesure pour laquelle vous souhaitez obtenir la moyenne.
include_zeros
Inclut ou non des valeurs nulles dans les calculs.

Cas d’utilisation : calculez la moyenne arithmétique d’un ensemble de valeurs, telles que le chiffre d’affaires quotidien moyen ou le nombre moyen de visites par campagne. Cela permet d’établir une ligne de base pour comparer des valeurs individuelles au sein d’un jeu de données.

Dans le créateur de mesures calculées : appliquez moyenne à une mesure telle que chiffre d’affaires ou sessions pour renvoyer la valeur moyenne pour tous les points de données dans la répartition ou la période sélectionnée.

TIP
Utilisez pour comprendre les tendances globales des performances ou combinez-les avec Écart type pour mesurer la cohérence autour de la moyenne.

Median median

Effet MEDIAN(metric, include_zeros)

[Table]{class="badge neutral"} renvoie la médiane pour une mesure dans une colonne. La médiane est le nombre qui se situe au milieu d’un ensemble de nombres. En d’autres termes, la moitié des nombres ont des valeurs supérieures ou égales à la médiane, et l’autre moitié est inférieure ou égale à la médiane.

Argument
Description
metric
Mesure pour laquelle vous souhaitez calculer la médiane.
include_zeros
Inclut ou non des valeurs nulles dans les calculs.

Cas d’utilisation : identifier la valeur médiane dans un ensemble de données, comme le chiffre d’affaires quotidien médian ou les pages vues médianes par visite. Cela s’avère utile lorsque vous souhaitez réduire l’impact des valeurs aberrantes et voir la tendance centrale de vos données.

Dans le créateur de mesures calculées : appliquez la valeur médiane à une mesure telle que Recettes ou Pages vues pour renvoyer la valeur du point médian pour tous les points de données de la répartition ou de la période sélectionnée.

TIP
Utilisez au lieu de Moyenne lorsque vos données contiennent des valeurs maximales ou minimales extrêmes susceptibles de fausser la moyenne.

Modulo modulo

Effet MODULO(metric_X, metric_Y)

Renvoie le reste après la division de x par y à l’aide d’une division euclidienne.

Argument
Description
metric_X
Première mesure que vous souhaitez diviser.
metric_Y
Deuxième mesure que vous souhaitez diviser.

Cas pratique : renvoyez le reste après avoir divisé un nombre par un autre. Cela peut s’avérer utile pour les modèles cycliques ou répétés, comme l’identification de chaque énième jour ou campagne dans une séquence.

Dans le créateur de mesures calculées : utilisez Modulo avec deux entrées numériques. Par exemple : Modulo(Nombre de jours, 7) renvoie le reste après avoir divisé le nombre de jours par sept, ce qui peut aider à regrouper les données par semaine.

TIP
Associez cette option à une logique conditionnelle pour mettre en évidence les intervalles récurrents ou pour segmenter les données en fonction de cycles répétés.

Plus d’exemples

La valeur de renvoi comporte le même signe que l’entrée (ou est égale à zéro).

MODULO(4,3) = 1
MODULO(-4,3) = -1
MODULO(-3,3) = 0

Pour obtenir systématiquement un nombre positif, utilisez ce qui suit :

MODULO(MODULO(x,y)+y,y)

Percentile percentile

Effet PERCENTILE(metric, k, include_zeros)

[Table]{class="badge neutral"} renvoie le énième percentile, qui est une valeur comprise entre 0 et 100. Lorsque n < 0, la fonction utilise zéro. Lorsque n > 100, la fonction renvoie 100.

Argument
Description
metric
Percentile dans la plage de 0 à 100, inclusif.
k
Colonne de mesures qui définit l’étendue relative.
include_zeros
Inclut ou non des valeurs nulles dans les calculs.

Cas d’utilisation : identifier la valeur en dessous de laquelle un pourcentage donné de points de données se situe, comme le 90e centile du chiffre d’affaires quotidien ou des pages vues. Cela permet de mesurer la distribution et de détecter des valeurs aberrantes hautement performantes.

Dans le créateur de mesures calculées : appliquez centile à une mesure telle que Revenue ou Sessions, puis spécifiez la valeur de centile souhaitée (par exemple, Percentile(Revenue, 90)). Le résultat indique le seuil en dessous duquel 90 % des points de données sont détectés.

TIP
Utilisez pour définir des références de performances ou pour filtrer les jours, les campagnes ou les produits les plus performants.

Power Operator power-operator

Effet POWER OPERATOR(metric_X, metric_Y)

Renvoie x élevé à la puissance y.

Argument
Description
metric_X
Mesure que vous souhaitez augmenter à la puissance metric_Y.
metric_Y
Puissance vers laquelle vous souhaitez augmenter metric_X.

Cas d’utilisation : augmenter un nombre ou une mesure à la puissance d’un autre, par exemple en mettant une valeur au carré ou en appliquant un poids exponentiel. Cela s’avère utile pour modéliser la croissance, mettre à l’échelle les valeurs ou effectuer des transformations mathématiques avancées.

Dans le créateur de mesures calculées : utilisez Power Operator entre deux valeurs numériques ou mesures. Par exemple : Revenue ^ 2 élève la valeur Revenue à la deuxième puissance.

TIP
Similaire à la fonction Exposant, mais exprimée en tant qu’opérateur mathématique, ce qui permet d’obtenir des formules plus compactes dans les mesures calculées.

Quartile quartile

Effet QUARTILE(metric, quartile, include_zeros)

[Table]{class="badge neutral"} renvoie le quartile des valeurs pour une mesure. Par exemple, les quartiles peuvent être utilisés pour trouver les 25 % de produits générant le plus de recettes. COLUMN MINIMUM, MEDIAN, et COLUMN MAXIMUM renvoient la même valeur que QUARTILE lorsque le quartile est égal à 0 (zéro), 2 et 4, respectivement.

Argument
Description
metric
Mesure pour laquelle vous souhaitez calculer la valeur du quartile.
Quartile
Indique la valeur de quartile à renvoyer.
include_zeros
Inclut ou non des valeurs nulles dans les calculs.

Cas d’utilisation : divisez un jeu de données en quatre parties égales pour comprendre comment les valeurs sont distribuées, par exemple en identifiant les 25 % de jours les plus riches par chiffre d’affaires ou visites. Cela permet de segmenter les performances en groupes classés pour une comparaison plus approfondie.

Dans le créateur de mesures calculées : appliquez Quartile à une mesure telle que Revenu ou Sessions et spécifiez le quartile à renvoyer (par exemple, Quartile(Revenu, 3) pour trouver le seuil du troisième quartile, ou les 25 % supérieurs).

TIP
Utilisez pour regrouper les valeurs en niveaux de performances tels que les campagnes ou produits à faibles, moyennes et hautes performances.

Round round

Effet ROUND(metric, number)

Un arrondi sans paramètre de nombre est identique à un paramètre de nombre de 0, soit un arrondi au nombre entier le plus proche. Avec un paramètre de nombre, ROUND renvoie le nombre de chiffres après la virgule. Si le nombre est négatif, il renvoie des 0 à gauche de la décimale.

Argument
Description
mesure
Mesure que vous souhaitez arrondir.
Number
Nombre de chiffres après la virgule à renvoyer. (Si négatif, renvoie des 0 à gauche de la décimale.)

Cas d’utilisation : simplifiez les résultats numériques en les arrondissant à un nombre spécifié de décimales. Cela s’avère utile pour créer des visualisations plus épurées ou pour faciliter la lecture des mesures calculées dans les rapports.

Dans le créateur de mesures calculées : appliquez arrondi à une mesure ou à une expression et spécifiez le nombre de décimales. Par exemple : Round(Taux de conversion, 2) arrondit la valeur à deux décimales.

TIP
Utilisez pour normaliser le formatage des mesures dans les rapports, en particulier lors de l’affichage de pourcentages ou de valeurs monétaires.

Plus d’exemples

ROUND( 314.15, 0) = 314
ROUND( 314.15, 1) = 314.1
ROUND( 314.15, -1) = 310
ROUND( 314.15, -2) = 300

Row Count row-count

Effet ROW COUNT()

Renvoie le nombre de lignes pour une colonne donnée (nombre d’éléments uniques signalés dans une dimension). L’option Valeurs uniques dépassées est comptabilisée en tant que 1.

Cas d’utilisation : comptez le nombre total de lignes renvoyées dans une répartition ou un jeu de données, tel que le nombre de jours, de campagnes ou de produits inclus dans un rapport. Cela permet de comprendre le nombre d’éléments qui contribuent à votre analyse.

Dans le créateur de mesures calculées : appliquez le nombre de lignes pour renvoyer le nombre total de lignes dans la répartition ou le segment actif. Par exemple, lors de l’affichage de Chiffre d’affaires par Produit, Nombre de lignes renvoie le nombre de produits affichés.

TIP
Utilisez avec d’autres fonctions telles que Somme des colonnes pour calculer manuellement des moyennes (par exemple, Somme des colonnes(Chiffre d’affaires) / Nombre de lignes()).

Row Max row-max

Effet ROW MAX(metric, include_zeros)

Maximum des colonnes de chaque ligne.

Argument
Description
metric
Nécessite au moins une mesure, mais peut prendre n’importe quel nombre de mesures en tant que paramètres.
include_zeros
Inclut ou non des valeurs nulles dans les calculs.

Cas d’utilisation : identifier la valeur la plus élevée pour toutes les mesures d’une seule ligne, par exemple déterminer quelle mesure (par exemple, Revenu, Commandes ou Sessions) a la valeur la plus élevée pour un jour ou un segment spécifique. Cela permet de mettre en évidence les pistes de mesure dans chaque ligne de données.

Dans le créateur de mesures calculées : appliquez Nombre maximal de lignes lorsque plusieurs mesures sont incluses dans une mesure calculée. Par exemple : Nombre maximal de lignes(Chiffre d’affaires, Commandes, Sessions) renvoie la valeur la plus élevée parmi ces mesures pour chaque ligne.

TIP
Permet de comparer les mesures associées côte à côte et d’identifier celle qui contribue le plus aux performances dans chaque ligne.

Row Min row-min

Effet ROW MIN(metric, include_zeros)

Minimum des colonnes de chaque ligne.

Argument
Description
metric
Nécessite au moins une mesure, mais peut prendre n’importe quel nombre de mesures en tant que paramètres.
include_zeros
Inclut ou non des valeurs nulles dans les calculs.

Cas d’utilisation : identifier la valeur la plus faible pour toutes les mesures d’une seule ligne, par exemple déterminer la mesure (par exemple, Revenu, Commandes ou Sessions) ayant la valeur la plus faible pour un jour ou un segment particulier. Cela permet de repérer la mesure la moins performante dans chaque ligne de données.

Dans le créateur de mesures calculées : appliquez le minimum de ligne lors de la comparaison de plusieurs mesures. Par exemple : Ligne Minimum(Revenue, Orders, Sessions) renvoie la valeur la plus petite parmi ces mesures pour chaque ligne.

TIP
Combinez cette fonction avec la fonction Maximum de ligne pour calculer des plages de performances ou mettre en évidence des mesures peu performantes dans une comparaison côte à côte.

Row Sum row-sum

Effet ROW SUM(metric, include_zeros)

Somme des colonnes de chaque ligne.

Argument
Description
metric
Nécessite au moins une mesure, mais peut prendre n’importe quel nombre de mesures en tant que paramètres.

Cas d’utilisation : ajoutez les valeurs de plusieurs mesures dans une seule ligne, telles que la somme Revenu et Taxe pour calculer la valeur totale du mouvement, ou combinez Sessions à partir de différentes sources. Cela permet de consolider les mesures associées en un seul total.

Dans le créateur de mesures calculées : appliquez somme des lignes pour combiner plusieurs mesures. Par exemple : Somme des lignes(Revenus, Taxes) ajoute ces deux mesures pour chaque ligne de votre répartition.

TIP
Permet de créer des totaux combinés ou de regrouper des indicateurs de performances associés en une seule mesure calculée.

Square Root square-root

Effet SQUARE ROOT(metric, include_zeros)

[Row]{class="badge neutral"} renvoie la racine carrée positive d’un nombre. La racine carrée d’un nombre est la valeur de ce nombre élevée à la puissance 1/2.

Argument
Description
metric
Mesure pour laquelle vous souhaitez obtenir la racine carrée.

Cas d’utilisation : renvoyez la racine carrée d’un nombre ou d’une mesure, par exemple la recherche de la racine de la variance lors du calcul de l’écart type ou de la normalisation des valeurs dans un jeu de données. Cela s’avère utile pour les calculs statistiques ou de transformation de données avancés.

Dans le créateur de mesures calculées : appliquez racine carrée à une mesure ou à une expression. Par exemple : Racine carrée(Variance(Revenue)) renvoie l’écart type de Revenue.

TIP
À utiliser lorsque vous devez mettre les mesures à l’échelle proportionnellement ou pour prendre en charge d’autres fonctions statistiques qui reposent sur des valeurs racines.

Standard Deviation standard-deviation

Effet STANDARD DEVIATION(metric, include_zeros)

[Table]{class="badge neutral"} renvoie l’écart type, ou la racine carrée de l’écart, selon l’échantillon de population de données.

Argument
Description
Mesure pour laquelle vous souhaitez calculer l’écart type.
include_zeros
Inclut ou non des valeurs nulles dans les calculs.

Cas d’utilisation : mesurez l’écart des valeurs par rapport à la moyenne, par exemple en évaluant la cohérence du chiffre d’affaires quotidien ou des visites au fil du temps. Cela permet d’identifier la volatilité, la stabilité ou les fluctuations inhabituelles des performances.

Dans le créateur de mesures calculées : appliquez l’écart type à une mesure telle que Chiffre d’affaires ou Sessions pour calculer la répartition des valeurs dans la répartition ou la période sélectionnée. Par exemple : Écart type(Chiffre d’affaires) indique dans quelle mesure le chiffre d’affaires quotidien s’écarte de la moyenne.

TIP
Utilisez avec Moyenne pour détecter des anomalies ou comparer la cohérence des performances entre les campagnes, les produits ou les segments.

Variance variance

Effet VARIANCE(metric, include_zeros)

[Table]{class="badge neutral"} renvoie la variance basée sur un échantillon de population de données.

Argument
Description
metric
Mesure pour laquelle vous souhaitez calculer la variance.
include_zeros
Inclut ou non des valeurs nulles dans les calculs.

Cas d’utilisation : mesurez l’écart moyen des valeurs d’un jeu de données, par exemple en analysant la variation du chiffre d’affaires quotidien ou de la durée de session au fil du temps. Cela permet de quantifier le degré de cohérence ou de fluctuation des performances.

Dans le créateur de mesures calculées : appliquez Variance à une mesure telle que Chiffre d’affaires ou Temps passé par visite pour calculer l’écart carré moyen par rapport à la moyenne. Par exemple : Variance(Revenue) indique dans quelle mesure les valeurs de chiffre d’affaires diffèrent de la moyenne sur la plage sélectionnée.

TIP
Utilisez cette option avec Écart type pour mieux comprendre la variabilité des données et identifier les zones de performances imprévisibles.

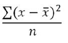
L’équation pour la VARIANCE est la suivante :

{width="100"}

x est la moyenne de l’échantillon, MEAN(metric) et n est la taille de l’échantillon.

Pour calculer une variance, vous prenez une colonne entière de nombres. Vous calculez d’abord la moyenne de cette série de nombres. Une fois que vous avez obtenu la moyenne, vous effectuez les opérations suivantes avec chaque entrée :

  1. Vous soustrayez la moyenne du nombre.

  2. Vous calculez le carré du résultat.

  3. Vous ajoutez ce résultat au total.

Une fois que vous avez effectué ces opérations sur la colonne entière, vous obtenez un total unique. Vous divisez ensuite ce total par le nombre d’éléments de la colonne. Ce nombre est la variance de la colonne. Il s’agit d’un seul nombre. Il est toutefois présenté sous la forme d’une colonne de nombres.

Dans l’exemple de la colonne à trois éléments suivante :

Colonne
1
2
3

La moyenne de cette colonne est 2. La variance de la colonne est ((1-2)2+(2-2)2+(3-2)2/3)=2/3.

recommendation-more-help
analytics-platform-help-main