Grundlegende Funktionen

Mit dem Generator für berechnete Metriken können Sie statistische und mathematische Funktionen anwenden. In diesem Artikel werden die Funktionen und ihre Definitionen alphabetisch aufgelistet.

NOTE
Wenn metric als Argument in einer Funktion angegeben ist, sind auch andere Ausdrücke von Metriken zulässig. Beispiel: COLUMN MAXIMUM(metrics) ermöglicht auch COLUMN MAXIMUM(PageViews + Visits).

Vergleich zwischen Tabellenfunktionen und Zeilenfunktionen

Eine Tabellenfunktion ist eine Funktion, bei der die Ausgabe für jede Zeile der Tabelle gleich ist. Eine Zeilenfunktion ist eine Funktion, bei der die Ausgabe für jede Zeile der Tabelle unterschiedlich ist.

Gegebenenfalls wird einer Funktion eine Anmerkung mit dem Typ der Funktion hinzugefügt: [Tabelle]{class="badge neutral"} oder [Zeile]{class="badge neutral"}.

Was bedeutet der Parameter „include-zeros“?

Damit wird angegeben, ob Nullen in die Berechnung einbezogen werden sollen. In manchen Fällen bedeutet eine Null nichts, in anderen Fällen kann sie aber auch wichtig sein.

Beispiel: Wenn Sie mit einer Umsatzmetrik arbeiten und dem Bericht dann eine Seitenansichtsmetrik hinzufügen, gibt es plötzlich mehr Zeilen für den Umsatz, die alle Nullwerte enthalten. Sie möchten wahrscheinlich nicht, dass sich diese zusätzliche Metrik auf Berechnungen wie ARITHMETISCHES MITTEL, ZEILENMINIMUM, QUARTIL usw. auswirkt, die sich in der Umsatzspalte befinden. In diesem Fall müssen Sie den Parameter include-zeros aktivieren.

Ein alternatives Szenario besteht darin, dass Sie zwei Metriken von Interesse haben und eine Metrik einen höheren Durchschnitt oder ein höheres Minimum aufweist, da einige der Zeilen Nullen sind.  In diesem Fall können Sie festlegen, dass der Parameter nicht auf Nullen überprüft werden soll.

Absolutwert absolute-value

Effekt ABSOLUTE VALUE(metric)

[Zeile]{class="badge neutral"} Gibt den absoluten Wert einer Zahl zurück. Der absolute Wert einer Zahl ist die Zahl mit einem positiven Wert.

Argument
Beschreibung
metric
Die Metrik, für die der absolute Wert berechnet werden soll.

Spaltenmaximum column-maximum

Effekt COLUMN MAXIMUM(metric, include_zeros)

Gibt den größten Wert in einem Satz aus Dimensionselementen für eine Metrikspalte zurück. MAXV wird vertikal innerhalb einer einzelnen Spalte (Metrik) über Dimensionselemente hinweg ausgewertet.

Argument
Beschreibung
metric
Erfordert mindestens eine Metrik, kann jedoch eine beliebige Anzahl von Metriken als Parameter verwenden.
include_zeros
Gibt an, ob Nullwerte in die Berechnungen einbezogen werden sollen oder nicht.

Spaltenminimum column-minimum

Effekt COLUMN MINIMUM(metric, include_zeros)

Gibt den kleinsten Wert in einem Satz aus Dimensionselementen für eine Metrikspalte zurück. MINV wird vertikal innerhalb einer einzelnen Spalte (Metrik) über Dimensionselemente hinweg ausgewertet.

Argument
Beschreibung
metric
Erfordert mindestens eine Metrik, kann jedoch eine beliebige Anzahl von Metriken als Parameter verwenden.
include_zeros
Gibt an, ob Nullwerte in die Berechnungen einbezogen werden sollen oder nicht.

Spaltensumme column-sum

Effekt COLUMN SUM(metric)

Addiert alle numerischen Werte für eine Metrik innerhalb einer Spalte (über die Elemente einer Dimension hinweg).

Argument
Beschreibung
metric
Erfordert mindestens eine Metrik, kann jedoch eine beliebige Anzahl von Metriken als Parameter verwenden.

Anzahl count

Effekt COUNT(metric)

[Tabelle]{class="badge neutral"} Gibt die Anzahl der Werte für eine Metrik innerhalb einer Spalte zurück, die ungleich null sind (die Anzahl erfasster eindeutiger Elemente innerhalb einer Dimension).

Argument
Beschreibung
metric
Die Metrik, die gezählt werden soll.

Exponent exponent

Effekt EXPONENT(metric)

[Zeile]{class="badge neutral"} Gibt e potenziert mit einer angegebenen Zahl zurück. Die Konstante e entspricht 2,71828182845904, der Basis des natürlichen Logarithmus. EXPONENT ist die Umkehrung von LN, dem natürlichen Logarithmus einer Zahl.

Argument
Beschreibung
metric
Die Exponentialfunktion mit Basis „e“.

Arithmetisches Mittel mean

Effekt MEAN(metric, include_zeros)

[Tabelle]{class="badge neutral"} Gibt das arithmetische Mittel (oder den Durchschnitt) für eine Metrik in einer Spalte zurück.

Argument
Beschreibung
metric
Die Metrik, für die der Durchschnitt berechnet werden soll.
include_zeros
Gibt an, ob Nullwerte in die Berechnungen einbezogen werden sollen oder nicht.

Median median

Effekt MEDIAN(metric, include_zeros)

[Tabelle]{class="badge neutral"} Gibt den Medianwert für eine Metrik in einer Spalte zurück. Der Median ist die Zahl in der Mitte einer Zahlenreihe. Das heißt, die Hälfte der Zahlen weist Werte auf, die größer oder gleich dem Median sind, und die Hälfte ist kleiner oder gleich dem Median.

Argument
Beschreibung
metric
Die Metrik, für die der Median berechnet werden soll.
include_zeros
Gibt an, ob Nullwerte in die Berechnungen einbezogen werden sollen oder nicht.

Modulo modulo

Effekt MODULO(metric_X, metric_Y)

Gibt den Rest bei der euklidischen Division von x durch y zurück.

Argument
Beschreibung
metric_X
Die erste Metrik, die geteilt werden soll.
metric_Y
Die zweite Metrik, die geteilt werden soll.

Beispiele

Der Rückgabewert hat dasselbe Vorzeichen wie die Eingabe (oder ist null).

MODULO(4,3) = 1
MODULO(-4,3) = -1
MODULO(-3,3) = 0

Um sicherzustellen, dass Sie immer eine positive Zahl zu erhalten, verwenden Sie

MODULO(MODULO(x,y)+y,y)

Perzentil percentile

Effekt PERCENTILE(metric, k, include_zeros)

[Tabelle]{class="badge neutral"} Gibt das n-te Perzentil zurück, das einen Wert zwischen 0 und 100 darstellt. Wenn n < 0 ist, verwendet die Funktion null. Wenn n > 100 ist, gibt die Funktion 100 zurück.

Argument
Beschreibung
metric
Der Perzentilwert im Bereich von 0 bis 100 (einschließlich).
k
Die Metrikspalte, die die relative Position definiert.
include_zeros
Gibt an, ob Nullwerte in die Berechnungen einbezogen werden sollen oder nicht.

Potenzierungsoperator power-operator

Effekt POWER OPERATOR(metric_X, metrix_Y)

Gibt die y-te Potenz von x zurück.

Argument
Beschreibung
metric_X
Die Metrik, die zur Potenz metric_Y erhoben werden soll.
metric_Y
Die Potenz, zu der metric_X erhoben werden soll.

Quartil quartile

Effekt QUARTILE(metric, quartile, include_zeros)

[Tabelle]{class="badge neutral"} Gibt das Quartil der Werte für eine Metrik zurück. Anhand von Quartilen können Sie beispielsweise die oberen 25 % der Produkte finden, die den meisten Umsatz generieren. COLUMN MINIMUM, MEDIAN und COLUMN MAXIMUM geben jeweils denselben Wert zurück wie QUARTILE, wenn „Quartil“ 0 (null), 2 bzw. 4 entspricht.

Argument
Beschreibung
metric
Die Metrik, für die der Quartilwert berechnet werden soll.
Quartil
Gibt an, welcher Quartilwert zurückgegeben werden soll.
include_zeros
Gibt an, ob Nullwerte in die Berechnungen einbezogen werden sollen oder nicht.

Runden round

Effekt ROUND(metric, number)

Das Runden ohne den Parameter number hat den gleichen Effekt wie das Runden mit dem Parameter number von 0, also die Rundung auf die nächste Ganzzahl. Mit einem Parameter number gibt ROUND die auf number Ziffern rechts vom Dezimalzeichen gerundete Zahl zurück. Wenn  number  negativ ist, werden entsprechend viele Nullen links neben dem Dezimalzeichen zurückgegeben.

Argument
Beschreibung
metric
Die Metrik, die gerundet werden soll.
number
Gibt an, wie viele Stellen rechts neben dem Dezimalzeichen zurückgegeben werden sollen. (Falls negativ, werden Nullen links neben dem Dezimalzeichen zurückgegeben.)

Beispiele

ROUND( 314.15, 0) = 314
ROUND( 314.15, 1) = 314.1
ROUND( 314.15, -1) = 310
ROUND( 314.15, -2) = 300

Zeilenanzahl row-count

Effekt ROW COUNT()

Gibt die Anzahl der Zeilen in einer bestimmten Spalte zurück (die Anzahl der innerhalb einer Dimension berichteten eindeutigen Elemente). Individuelle Werte überschritten wird als 1 gezählt.

Zeilenmaximum row-max

Effekt ROW MAX(metric, include_zeros)

Das Maximum der Spalten in jeder Zeile.

Argument
Beschreibung
metric
Erfordert mindestens eine Metrik, kann jedoch eine beliebige Anzahl von Metriken als Parameter verwenden.
include_zeros
Gibt an, ob Nullwerte in die Berechnungen einbezogen werden sollen oder nicht.

Zeilenminimum row-min

Effekt ROW MIN(metric, include_zeros)

Das Minimum der Spalten in jeder Zeile.

Argument
Beschreibung
metric
Erfordert mindestens eine Metrik, kann jedoch eine beliebige Anzahl von Metriken als Parameter verwenden.
include_zeros
Gibt an, ob Nullwerte in die Berechnungen einbezogen werden sollen oder nicht.

Zeilensumme row-sum

Effekt ROW SUM(metric, include_zeros)

Die Summe der Spalten in jeder Zeile.

Argument
Beschreibung
metric
Erfordert mindestens eine Metrik, kann jedoch eine beliebige Anzahl von Metriken als Parameter verwenden.

Quadratwurzel square-root

Effekt SQUARE ROOT(metric, include_zeros)

[Zeile]{class="badge neutral"} Gibt die positive Quadratwurzel einer Zahl zurück. Die Quadratwurzel einer Zahl ist der Wert, wenn diese Zahl zur Potenz 1/2 erhoben wird.

Argument
Beschreibung
metric
Die Metrik, für die die Quadratwurzel berechnet werden soll.

Standardabweichung standard-deviation

Effekt STANDARD DEVIATION(metric, include_zeros)

[Tabelle]{class="badge neutral"} Gibt die Standardabweichung (d. h. die Quadratwurzel der Varianz) basierend auf einer Stichprobenpopulation von Daten zurück.

Argument
Beschreibung
Die Metrik, für die die Standardabweichung berechnet werden soll.
include_zeros
Gibt an, ob Nullwerte in die Berechnungen einbezogen werden sollen oder nicht.

Varianz variance

Effekt VARIANCE(metric, include_zeros)

[Tabelle]{class="badge neutral"} Gibt die Schwankung basierend auf einer Beispieldatenpopulation zurück.

Argument
Beschreibung
metric
Die Metrik, für die die Varianz berechnet werden soll.
include_zeros
Gibt an, ob Nullwerte in die Berechnungen einbezogen werden sollen oder nicht.

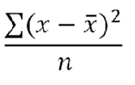
Die Gleichung für VARIANCE lautet:

{width="100"}

Dabei ist x der Mittelwert der Stichprobe, MEAN(metric), und n ist der Stichprobenumfang.

Zur Berechnung einer Varianz wird eine gesamte Spalte von Zahlen betrachtet. Aus dieser Liste von Zahlen berechnen Sie zunächst den Durchschnitt. Sobald Sie den Durchschnitt ermittelt haben, sehen Sie sich jeden Eintrag an und gehen wie folgt vor:

  1. Ziehen Sie den Durchschnitt von der Zahl ab.

  2. Quadrieren Sie das Ergebnis.

  3. Fügen Sie diesen Wert zum Gesamtergebnis hinzu.

Sobald Sie die gesamte Spalte durchlaufen haben, erhalten Sie ein einziges Gesamtergebnis. Dieser Gesamtbetrag wird dann durch die Anzahl der Elemente in der Spalte geteilt. Diese Zahl ist die Varianz für die Spalte. Es ist eine einzelne Zahl. Sie wird jedoch als Zahlenspalte angezeigt.

Im Beispiel der folgenden Spalte mit drei Elementen:

Spalte
1
2
3

Der Durchschnitt dieser Spalte ist 2. Die Varianz für die Spalte ist ((1 - 2)2 + (2 - 2)2 + (3 - 2)2/3) = 2/3.

recommendation-more-help
080e5213-7aa2-40d6-9dba-18945e892f79