基本函數

使用計算量度產生器可套用統計和數學函數。本文記錄了函數及其定義的清單,依字母順序排列。

NOTE
此處將 metric 視為函數中的引數,也允許使用其他的量度運算式。例如,欄最大值 (量度) 也允許使用 欄最大值 (頁面檢視 + 造訪)

表格函數和列函數的比較

表格函式是每個表格列的輸出都相同的函式。 列函式是表格每一列的輸出都不同的函式。

在適用且相關的情況下,函數會以函數類型進行註解:[表格]{class="badge neutral"}或[列]{class="badge neutral"}

include_zeros 參數的意義是什麼?

此參數指出是否在計算中包括零。有時候零​沒有意義,有時候卻很重要。

例如,如果您有「收入」量度,隨後新增「頁面檢視」量度至報表,您的收入會突然出現許多全都是零的列。您可能不希望該附加量度影響任何 平均值列最小值四分位數,以及收入欄中的更多計算。在這種情況下,您可以勾選 include-zeros 參數。

另一種情況是,您有兩個感興趣的量度,其中一個具有較高的平均值或最小值,因為某些列是零。在這種情況下,您可以選擇不檢查參數是否包括零

絕對值 absolute-value

效果 絕對值 (量度)

[列]{class="badge neutral"}傳回數字的絕對值。數字的絕對值是正值的數字。

引數
說明
量度
您要計算其絕對值的量度。

欄最大值 column-maximum

效果 欄最大值 (量度,包括零)

傳回量度欄中一組維度元素的最大值。MAXV 會垂直評估單一欄 (量度) 中的維度元素。

引數
說明
量度
需要至少一個量度,但可以採用任意數量的量度作為參數。
包括零
計算中是否包括零值。

欄最小值 column-minimum

效果 欄最小值 (量度,包括零)

傳回量度欄中一組維度元素的最小值。MINV 會垂直評估單一欄 (量度) 中的維度元素。

引數
說明
量度
需要至少一個量度,但可以採用任意數量的量度作為參數。
包括零
計算中是否包括零值。

欄總和 column-sum

效果 欄總和 (量度)

將一欄中量度的所有數值 (涵蓋維度的所有元素) 相加。

引數
說明
量度
需要至少一個量度,但可以採用任意數量的量度作為參數。

計數 count

效果 計數 (量度)

[表格]{class="badge neutral"}傳回欄中量度的數目、計數或非零數值 (在一個維度中報告的唯一元素數目)。

引數
說明
量度
您想計數的量度。

指數 exponent

效果 指數 (量度)

[列]{class="badge neutral"}傳回指定數字的 e 乘冪。常數 e 是自然對數的底數,等於 2.71828182845904。EXPONENT 是 LN (一個數字的自然對數) 的反函數。

引數
說明
量度
套用至底數 e 的指數。

平均值 mean

效果 平均值 (量度,include_zeros)

[表格]{class="badge neutral"}傳回欄中量度的算術平均數或平均值。

引數
說明
量度
您要計算其平均值的量度。
包括零
計算中是否包括零值。

中位數 median

效果 中位數 (量度,include_zeros)

[表格]{class="badge neutral"}傳回欄中量度的中位數。中位數是一組數字中位於中間的數字。意即,有一半的數字其值大於或等於中位數,另有一半的值小於或等於中位數。

引數
說明
量度
您要計算其中間值的量度。
包括零
計算中是否包括零值。

模數 modulo

效果 模數 (metric_X、metric_Y)

傳回使用歐幾里德輾轉相除法將 x 除以 y 後的餘數。

引數
說明
metric_X
您想要相除的第一個量度。
metric_Y
您想要相除的第二個量度。

範例

傳回值的正負號與輸入相同 (或等於零)。

MODULO(4,3) = 1
MODULO(-4,3) = -1
MODULO(-3,3) = 0

為了確保一律取得正數,請使用

MODULO(MODULO(x,y)+y,y)

百分位數 percentile

效果 百分位數 (量度,k,include_zeros)

[表格]{class="badge neutral"}傳回第 n 個百分位數,該值介於 0 至 100 之間。當 n < 0 時,則函數使用零。當 n > 100 時,函數傳回 100。

引數
說明
量度
0 至 100 (含) 範圍內的百分位數值。
k
定義相對位置的量度欄。
包括零
計算中是否包括零值。

乘冪運算子 power-operator

效果 乘冪運算子 (metric_X、metrix_Y)

傳回 x 的 y 次方。

引數
說明
metric_X
您想要以 metric_Y 作為次方連乘的量度。
metric_Y
您想要將 metric_X 作為底數要連乘的次方。

四分位數 quartile

效果 四分位數 (量度,四分位數,include_zeros)

[表格]{class="badge neutral"}傳回量度值的四分位數。例如,四分位數可用來尋找推動最高收入的前 25% 產品。當四分位數分別等於 0 (零)、24 時,欄最小值中間值欄最大值傳回與四分位數相同的值。

引數
說明
量度
您要計算其四分位數值的量度。
四分位數
指出要傳回哪個四分位數值。
包括零
計算中是否包括零值。

四捨五入 round

效果 四捨五入 (量度,數值)

沒有​ 數值 ​參數的四捨五入值等於​ 數值 ​參數為 0 的四捨五入值,也就是四捨五入到最接近的整數。具有​ 數值 ​參數時,則會在小數點右側傳回與​ 數值 ​一樣多的小數位數。如果​ 數值 ​為負,則會在小數點左側傳回 0。

引數
說明
量度
您要四捨五入的量度。
數字
要傳回小數點右邊的多少位數字。(如果為負數,則會在小數點左側傳回零)。

範例

ROUND( 314.15, 0) = 314
ROUND( 314.15, 1) = 314.1
ROUND( 314.15, -1) = 310
ROUND( 314.15, -2) = 300

列計數 row-count

效果 列計數 ()

傳回指定欄的列計數 (維度中報告的唯一元素數)。「超出唯一值」計為 1。

列最大值 row-max

效果 列最大值 (量度,包括零)

每列的最大欄數。

引數
說明
量度
需要至少一個量度,但可以採用任意數量的量度作為參數。
包括零
計算中是否包括零值。

列最小值 row-min

效果 列最小值 (量度,包括零)

每列的最小欄數。

引數
說明
量度
需要至少一個量度,但可以採用任意數量的量度作為參數。
包括零
計算中是否包括零值。

列總和 row-sum

效果 列總和 (量度,包括零)

每一列的欄總和。

引數
說明
量度
需要至少一個量度,但可以採用任意數量的量度作為參數。

平方根 square-root

效果 平方根 (量度,include_zeros)

[列]{class="badge neutral"}傳回數字的正平方根。數字的平方根是該數字的 1/2 次方。

引數
說明
量度
您要計算其平方根的量度。

標準差 standard-deviation

效果 標準差 (量度,include_zeros)

[表格]{class="badge neutral"}根據一組來自母體的樣本資料,傳回標準差或變數的平方根。

引數
說明
您要計算其標準差的量度。
包括零
計算中是否包括零值。

變異數 variance

效果 變數 (量度,include_zeros)

[表格]{class="badge neutral"}根據一組來自母體的樣本資料傳回變數。

引數
說明
量度
您要計算其變數的量度。
包括零
計算中是否包括零值。

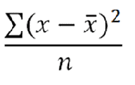
變數的方程式為:

{width="100"}

其中 x 是樣本平均值 MEAN(量度),而 n 是樣本大小。

為了計算變數,請查看整欄的數字。請先從那列數字計算平均值。取得平均值後,請陸續處理每個項目,然後進行下列步驟:

  1. 將數字減去平均值。

  2. 取結果的平方。

  3. 將其加入總計。

反覆運算整欄之後,會得到單一合計。然後將該總數除以欄中的專案數。 該數字是欄的變數。 這是一個數字。 但是,它會顯示為一欄數字。

在以下三項目欄的範例中:

1
2
3

此欄的平均值為2。 欄的變數為 ((1 - 2)2 + (2 - 2)2 + (3 - 2)2/3) = 2/3。

recommendation-more-help
080e5213-7aa2-40d6-9dba-18945e892f79