基本功能

使用计算量度生成器可以应用统计和数学函数。本文按字母顺序列出了这些函数及其定义。

NOTE
当 metric 被标识为函数中的参数时,还允许使用其他量度表达式。例如,COLUMN MAXIMUM(metrics) 还允许 COLUMN MAXIMUM(PageViews + Visits)

表函数与行函数

table函数是其中表的每一行的输出都相同的函数。 行函数是指其中表的每一行的输出都不同的函数。

在适用且相关的情况下,函数具有函数类型注释:[表]{class="badge neutral"}或[行]{class="badge neutral"}

Include-Zeros 参数的含义是什么?

它可告知计算中是否包含零。零有时表示​,有时又十分重要。

例如,如果您有收入量度,然后又将页面查看次数量度添加到报告中,则您的收入会突然多出一些全部为零的行。您可能不希望该附加量度影响收入栏中的任何​平均值行最小值四分位数​以及其他计算。在这种情况下,您需要检查 include-zeros 参数。

另一种情况是,您有两个感兴趣的量度,其中一个量度的平均值或最小值较高,因为其中有些行为零。在这种情况下,您可以选择不检查参数,以包含零

绝对值 absolute-value

效果 ABSOLUTE VALUE(metric)

[Row]{class="badge neutral"} 返回某数字的绝对值。某数字的绝对值是一个具有正值的数字。

参数
描述
量度
您想要计算绝对值的量度。

列最大值 column-maximum

效果 COLUMN MAXIMUM(metric, include_zeros)

返回某量度列的一组维度元素中的最大值。MAXV 可以在一个列(量度)内跨维度元素垂直估值。

参数
描述
量度
至少需要一个量度,但可以将任意数量的量度作为参数。
include_zeros
是否在计算中包含零值。

列最小值 column-minimum

效果 COLUMN MINIMUM(metric, include_zeros)

返回某量度列的一组维度元素中的最小值。MINV 可以在一个列(量度)内跨维度元素垂直估值。

参数
描述
量度
至少需要一个量度,但可以将任意数量的量度作为参数。
include_zeros
是否在计算中包含零值。

列总和 column-sum

效果 COLUMN SUM(metric)

添加列中某量度的所有数值(跨维度元素)。

参数
描述
量度
至少需要一个量度,但可以将任意数量的量度作为参数。

计数 count

效果 COUNT(metric)

[Table]{class="badge neutral"} 返回列中某量度的非零值的数量或计数(某个维度内报告的独特元素数)。

参数
描述
量度
您希望计数的量度。

指数 exponent

效果 EXPONENT(metric)

[Row]{class="badge neutral"} 返回 e 的给定次幂。常量 e 等于 2.71828182845904,它是自然对数的底数。EXPONENT 是 LN 的反函数,LN 是某数字的自然对数。

参数
描述
量度
应用于底数 e 的指数。

平均值 mean

效果 MEAN(metric, include_zeros)

[Table]{class="badge neutral"} 返回列中某量度的算术平均值或平均数。

参数
描述
量度
您希望计算平均数的量度。
include_zeros
是否在计算中包含零值。

中间值 median

效果 MEDIAN(metric, include_zeros)

[Table]{class="badge neutral"} 返回列中某量度的中间值。中间值是位于一组数字中间的数字。也就是说,一半的数字大于或等于中间值,一半的数字小于或等于中间值。

参数
描述
量度
您希望计算中位数的量度。
include_zeros
是否在计算中包含零值。

取模 modulo

效果 MODULO(metric_X, metric_Y)

使用带余除法,将 x 除以 y 之后返回余数。

参数
描述
metric_X
您想要划分的第一个量度。
metric_Y
您想要划分的第二个量度。

示例

返回值具有与输入值相同的符号(或为零)。

MODULO(4,3) = 1
MODULO(-4,3) = -1
MODULO(-3,3) = 0

要确保您始终获得正数,请使用

MODULO(MODULO(x,y)+y,y)

百分位数 percentile

效果 PERCENTILE(metric, k, include_zeros)

[Table]{class="badge neutral"} 返回第 n 个百分位数,即 0 至 100 之间的值。当 n < 0 时,该函数使用零。当 n > 100 时,该函数返回 100。

参数
描述
量度
介于 0 到 100 之间(包括 0 和 100)的百分位数值。
k
用于定义相对位置的量度列。
include_zeros
是否在计算中包含零值。

幂运算符 power-operator

效果 POWER OPERATOR(metric_X, metrix_Y)

返回 x 的 y 次方。

参数
描述
metric_X
您想要计算其 metric_Y 次方的量度。
metric_Y
您想要将 metric_X 提升到的次方。

四分位数 quartile

效果 QUARTILE(metric, quartile, include_zeros)

[Table]{class="badge neutral"} 返回某量度的四分位数形式的值。例如,四分位数可用于查找在获得的收入方面排名前 25% 的产品。当四分位数分别等于 0(零)、24 时,COLUMN MINIMUM, MEDIANCOLUMN MAXIMUM 返回与 QUARTILE 相同的值。

参数
描述
量度
您想要计算四分位数值的量度。
四分位数
指示要返回哪个四分位数值。
include_zeros
是否在计算中包含零值。

轮次 round

效果 ROUND(metric, number)

在没有​ 数字 ​参数的情况下四舍五入,与在​ 数字 ​参数为 0 的情况下四舍五入是相同的,都会四舍五入为最接近的整数。使用​ 数字 ​参数,ROUND 返回小数点右侧的​ 数字 ​位数。如果​ 数字 ​为负,则在小数点左侧返回 0。

参数
描述
量度
要舍入的量度。
数字
返回小数点右边的多少位数字。(如果负数返回小数点左侧的零)。

示例

ROUND( 314.15, 0) = 314
ROUND( 314.15, 1) = 314.1
ROUND( 314.15, -1) = 310
ROUND( 314.15, -2) = 300

行计数 row-count

效果 ROW COUNT()

返回给定列的行计数(一个维度中报告的独特元素计数)。将​ 超出的独特数 ​计为 1。

行最大值 row-max

效果 ROW MAX(metric, include_zeros)

每一行中所有列的最大值。

参数
描述
量度
至少需要一个量度,但可以将任意数量的量度作为参数。
include_zeros
是否在计算中包含零值。

行最小值 row-min

效果 ROW MIN(metric, include_zeros)

每一行中所有列的最小值。

参数
描述
量度
至少需要一个量度,但可以将任意数量的量度作为参数。
include_zeros
是否在计算中包含零值。

行总和 row-sum

效果 ROW SUM(metric, include_zeros)

每一行中所有列的总和。

参数
描述
量度
至少需要一个量度,但可以将任意数量的量度作为参数。

平方根 square-root

效果 SQUARE ROOT(metric, include_zeros)

[Row]{class="badge neutral"} 返回某数字的正平方根。某数字的平方根是该数字二分之一次幂的值。

参数
描述
量度
您希望计算平方根的量度。

标准偏差 standard-deviation

效果 STANDARD DEVIATION(metric, include_zeros)

[Table]{class="badge neutral"} 基于数据的抽样群体,返回变量的标准偏差或平方根。

参数
描述
您想要计算标准差的量度。
include_zeros
是否在计算中包含零值。

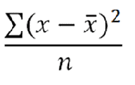
变量 variance

效果 VARIANCE(metric, include_zeros)

[Table]{class="badge neutral"} 基于数据的抽样群体返回变量。

参数
描述
量度
您希望计算变量的量度。
include_zeros
是否在计算中包含零值。

VARIANCE 的方程式为:

{width="100"}

其中 x 为抽样平均值,MEAN(metric)n 为抽样大小。

为了计算变量,需要查看整列数字。首先,从该数字列表计算平均值。得出平均值后,浏览每个条目,然后执行以下操作:

  1. 从数字中减去平均值。

  2. 将结果求平方。

  3. 再相加求和。

对整列进行迭代后,您将得到一个总数。然后,将该总数除以列中的项目数。 该数字是列的方差。 这是一个数字。 但是,它会显示为一列数字。

在以下三项列的示例中:

1
2
3

此列的平均值为2。 此列的变量将为 ((1 - 2)2 + (2 - 2)2 + (3 - 2)2/3 = 2/3。

recommendation-more-help
080e5213-7aa2-40d6-9dba-18945e892f79