Funções básicas

O Construtor de métricas calculadas permite aplicar funções matemáticas e estatísticas. Este artigo documenta uma lista em ordem alfabética das funções e suas definições.

NOTE
Sempre que metric for definida como um argumento em uma função, outras expressões de métricas também serão permitidas. Por exemplo, COLUMN MAXIMUM(metrics) também permite COLUMN MAXIMUM(PageViews + Visits).

Funções de tabela versus funções de linha

Uma função de tabela é aquela em que a saída é a mesma para cada linha da tabela. Uma função de linha é aquela em que a saída é diferente para cada linha da tabela.

Quando aplicável e relevante, uma função é anotada com o tipo de função: [Tabela]{class="badge neutral"} ou [Linha]{class="badge neutral"}

O que significa o parâmetro “incluir zeros”?

Informa se os zeros devem ou não ser incluídos no cálculo. Às vezes, zero significa nada, mas em alguns casos, pode ser importante.

Por exemplo, se você possuir uma métrica Receita e adicionar a métrica Visualizações de página ao relatório, aparecerão mais linhas com valores iguais a zero na sua receita. Você provavelmente não vai querer que essa métrica adicional afete qualquer MÉDIA, MÍNIMO DA LINHA, QUARTIL e outros cálculos que você tenha na coluna receita. Neste caso, você deverá marcar o parâmetro include-zeros.

Um cenário alternativo é o que você tem duas métricas de interesse e uma tem uma média ou um mínimo mais alto porque algumas das linhas são zeros. Nesse caso, você pode optar por não marcar o parâmetro para incluir zeros

Valor absoluto absolute-value

Efeito ABSOLUTE VALUE(metric)

[Linha]{class="badge neutral"} Retorna o valor absoluto de um número. O valor absoluto de um número é o número com um valor positivo.

Argumento
Descrição
métrica
A métrica para a qual você deseja obter o valor absoluto.

Máximo da coluna column-maximum

Efeito COLUMN MAXIMUM(metric, include_zeros)

Retorna o maior valor em um conjunto de elementos de dimensão para uma coluna de métrica. O MAXV é avaliado verticalmente em uma única coluna (métrica) nos elementos de dimensão.

Argumento
Descrição
métrica
Precisa de pelo menos uma métrica, mas pode usar quantas métricas forem necessárias como parâmetros.
include_zeros
Se os valores zero devem ser incluídos nos cálculos.

Mínimo da coluna column-minimum

Efeito COLUMN MINIMUM(metric, include_zeros)

Retorna o menor valor em um conjunto de elementos de dimensão para uma coluna de métrica. O MINV é avaliado verticalmente em uma única coluna (métrica) nos elementos de dimensão.

Argumento
Descrição
métrica
Precisa de pelo menos uma métrica, mas pode usar quantas métricas forem necessárias como parâmetros.
include_zeros
Se os valores zero devem ser incluídos nos cálculos.

Soma da coluna column-sum

Efeito COLUMN SUM(metric)

Adiciona todos os valores numéricos de uma métrica em uma coluna (nos elementos de uma dimensão).

Argumento
Descrição
métrica
Precisa de pelo menos uma métrica, mas pode usar quantas métricas forem necessárias como parâmetros.

Contagem count

Efeito COUNT(metric)

[Tabela]{class="badge neutral"} Retorna o número, ou contagem, de valores diferentes de zero de uma métrica em uma coluna (o número de elementos exclusivos relatados em uma dimensão).

Argumento
Descrição
métrica
A métrica que deseja contar.

Expoente exponent

Efeito EXPONENT(metric)

[Linha]{class="badge neutral"} Retorna “e” elevado à potência de um número fornecido. A constante e é igual a 2,71828182845904, a base do logaritmo natural. EXPONENT é o inverso de LN, o logaritmo natural de um número.

Argumento
Descrição
métrica
O exponente aplicado à base e.

Média mean

Efeito MEAN(metric, include_zeros)

[Tabela]{class="badge neutral"} Retorna a média aritmética de uma métrica em uma coluna.

Argumento
Descrição
métrica
A métrica para a qual você deseja obter a média.
include_zeros
Se os valores zero devem ser incluídos nos cálculos.

Mediana median

Efeito MEDIAN(metric, include_zeros)

[Tabela]{class="badge neutral"} Retorna a mediana de uma métrica em uma coluna. A mediana é o número no meio de um conjunto de números. Ou seja, metade dos números tem valores maiores ou iguais à mediana e metade é menor ou igual à mediana.

Argumento
Descrição
métrica
A métrica para a qual você deseja obter a mediana.
include_zeros
Se os valores zero devem ser incluídos nos cálculos.

Módulo modulo

Efeito MODULO(metric_X, metric_Y)

Retorna o resto após dividir x por y usando a divisão euclidiana.

Argumento
Descrição
metric_X
A primeira métrica que você deseja dividir.
metric_Y
A segunda métrica que você deseja dividir.

Exemplos

O valor retornado tem o mesmo sinal que a entrada (ou é zero).

MODULO(4,3) = 1
MODULO(-4,3) = -1
MODULO(-3,3) = 0

Para obter sempre um número positivo, use

MODULO(MODULO(x,y)+y,y)

Percentil percentile

Efeito PERCENTILE(metric, k, include_zeros)

[Tabela]{class="badge neutral"} Retorna o enésimo percentil, que é um valor entre 0 e 100. Quando n < 0, a função usa zero. Quando n > 100, a função retorna 100.

Argumento
Descrição
métrica
O valor do percentil no intervalo de 0 a 100, incluso.
k
A coluna de métrica que define a posição relativa.
include_zeros
Se os valores zero devem ser incluídos nos cálculos.

Operador de potência power-operator

Efeito POWER OPERATOR(metric_X, metrix_Y)

Retorna x elevado à potência y.

Argumento
Descrição
metric_X
A métrica que você deseja elevar à potência metric_Y.
metric_Y
A potência à qual você deseja elevar a metric_X.

Quartil quartile

Efeito QUARTILE(metric, quartile, include_zeros)

[Tabela]{class="badge neutral"} Retorna o quartil dos valores de uma métrica. Por exemplo, os quartis podem ser usados para encontrar a porcentagem de 25% dos produtos com maior receita. MÍNIMO DA COLUNA, MEDIANA e MÁXIMO DA COLUNA retornam o mesmo valor que QUARTIL quando o quartil é igual a 0 (zero), 2 e 4, respectivamente.

Argumento
Descrição
métrica
A métrica para a qual você deseja obter o valor do quartil.
quartil
Indica qual valor de quartil retornar.
include_zeros
Se os valores zero devem ser incluídos nos cálculos.

Arredondar round

Efeito ROUND(metric, number)

Arredondar sem um parâmetro numérico é igual a arredondar com um parâmetro numérico de 0, ou seja, arredondar para o número inteiro mais próximo. Com um parâmetro numérico, ARREDONDAR retorna os dígitos numéricos à direita do separador decimal. Se o número for negativo, retornará zeros à esquerda do separador decimal.

Argumento
Descrição
metric
A métrica que deseja arredondar.
número
Quantos dígitos à direita do separador decimal devem retornar. (Se negativo, retorna zeros à esquerda do separador decimal).

Exemplos

ROUND( 314.15, 0) = 314
ROUND( 314.15, 1) = 314.1
ROUND( 314.15, -1) = 310
ROUND( 314.15, -2) = 300

Contagem de linhas row-count

Efeito ROW COUNT()

Retorna a contagem de linhas referente a uma determinada coluna (o número de elementos únicos relatados em uma dimensão). Únicos excedidos é contado como 1.

Máx. de linhas row-max

Efeito ROW MAX(metric, include_zeros)

O máximo de colunas de cada linha.

Argumento
Descrição
métrica
Precisa de pelo menos uma métrica, mas pode usar quantas métricas forem necessárias como parâmetros.
include_zeros
Se os valores zero devem ser incluídos nos cálculos.

Mín. de linhas row-min

Efeito ROW MIN(metric, include_zeros)

O mínimo de colunas de cada linha.

Argumento
Descrição
métrica
Precisa de pelo menos uma métrica, mas pode usar quantas métricas forem necessárias como parâmetros.
include_zeros
Se os valores zero devem ser incluídos nos cálculos.

Soma da linha row-sum

Efeito ROW SUM(metric, include_zeros)

A soma das colunas em cada linha.

Argumento
Descrição
métrica
Precisa de pelo menos uma métrica, mas pode usar quantas métricas forem necessárias como parâmetros.

Raiz quadrada square-root

Efeito SQUARE ROOT(metric, include_zeros)

[Linha]{class="badge neutral"} Retorna a raiz quadrada positiva de um número. A raiz quadrada de um número é o valor desse número elevado à potência de 1/2.

Argumento
Descrição
métrica
A métrica para a qual você deseja obter a raiz quadrada.

Desvio padrão standard-deviation

Efeito STANDARD DEVIATION(metric, include_zeros)

[Tabela]{class="badge neutral"} Retorna o desvio padrão, ou raiz quadrada da variância, com base em uma população de dados de amostra.

Argumento
Descrição
A métrica para a qual você deseja obter o desvio padrão.
include_zeros
Se os valores zero devem ser incluídos nos cálculos.

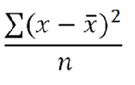
Variância variance

Efeito VARIANCE(metric, include_zeros)

[Tabela]{class="badge neutral"} Retorna a variância com base em uma população de dados de amostra.

Argumento
Descrição
métrica
A métrica para a qual você deseja obter a variação.
include_zeros
Se os valores zero devem ser incluídos nos cálculos.

A equação de VARIAÇÃO é:

{width="100"}

Onde x é a média da amostra, MEAN(metric), e n é o tamanho da amostra.

Para calcular uma variação, considere uma coluna inteira de números. Nessa lista de números, calcule primeiro a média. Após obter a média, analise cada entrada e faça o seguinte:

  1. Subtraia a média do número.

  2. Eleve o resultado ao quadrado.

  3. Adicione-o ao total.

Quando você iterar por toda a coluna, terá um total único. Em seguida, você divide esse total pelo número de itens na coluna. Esse número é a variação da coluna. É um único número. No entanto, é exibido como uma coluna de números.

No exemplo da seguinte coluna de três itens:

coluna
1
2
3

A média dessa coluna é 2. A variação da coluna será ((1 - 2)2 + (2 - 2)2 + (3 - 2)2/3) = 2/3.

recommendation-more-help
080e5213-7aa2-40d6-9dba-18945e892f79