Funções básicas

O Construtor de métricas calculadas permite aplicar funções matemáticas e estatísticas. Este artigo documenta uma lista em ordem alfabética das funções e suas definições.

NOTE
Sempre que metric for definida como um argumento em uma função, outras expressões de métricas também serão permitidas. Por exemplo, COLUMN MAXIMUM(metrics) também permite COLUMN MAXIMUM(PageViews + Visits).

Funções de tabela versus funções de linha

Uma função de tabela é aquela em que a saída é a mesma para cada linha da tabela. Uma função de linha é aquela em que a saída é diferente para cada linha da tabela.

Quando aplicável e relevante, uma função é anotada com o tipo de função: [Tabela]{class="badge neutral"} ou [Linha]{class="badge neutral"}

O que significa o parâmetro “incluir zeros”?

Informa se os zeros devem ou não ser incluídos no cálculo. Às vezes, zero significa nada, mas em alguns casos, pode ser importante.

Por exemplo, se você possuir uma métrica Receita e adicionar a métrica Visualizações de página ao relatório, aparecerão mais linhas com valores iguais a zero na sua receita. Você provavelmente não vai querer que essa métrica adicional afete qualquer MÉDIA, MÍNIMO DA LINHA, QUARTIL e outros cálculos que você tenha na coluna receita. Neste caso, você deverá marcar o parâmetro include-zeros.

Um cenário alternativo é o que você tem duas métricas de interesse e uma tem uma média ou um mínimo mais alto porque algumas das linhas são zeros. Nesse caso, você pode optar por não marcar o parâmetro para incluir zeros

Valor absoluto absolute-value

Efeito ABSOLUTE VALUE(metric)

[Linha]{class="badge neutral"} Retorna o valor absoluto de um número. O valor absoluto de um número é o número com um valor positivo.

Argumento
Descrição
métrica
A métrica para a qual você deseja obter o valor absoluto.

Caso de uso: verifique se todos os resultados são positivos ao analisar métricas que podem produzir valores negativos, como deltas de receita ou alterações de porcentagem. Isso ajuda a focar na magnitude da mudança independentemente da direção.

No Construtor de Métricas Calculadas: Vincule sua métrica ou expressão na função Valor Absoluto, por exemplo: Valor Absoluto(Receita Atual - Receita Anterior). Isso converte quaisquer diferenças negativas em valores positivos.

TIP
Use isso para medir as diferenças absolutas entre dois períodos ou segmentos, independentemente de o desempenho ter aumentado ou diminuído.

Máximo da coluna column-maximum

Efeito COLUMN MAXIMUM(metric, include_zeros)

Retorna o maior valor em um conjunto de elementos de dimensão para uma coluna de métrica. O MAXV é avaliado verticalmente em uma única coluna (métrica) nos elementos de dimensão.

Argumento
Descrição
métrica
Precisa de pelo menos uma métrica, mas pode usar quantas métricas forem necessárias como parâmetros.
include_zeros
Se os valores zero devem ser incluídos nos cálculos.

Caso de uso: identifique o valor mais alto em um detalhamento, como o dia com mais visitas ou o produto com a maior receita. Isso ajuda a destacar o desempenho máximo nas categorias.

No Construtor de Métrica Calculada: Aplicar o Máximo da Coluna a uma métrica como Receita ou Visitas ao detalhar por Dia ou Produto. A função retorna o maior valor nessa coluna para cada linha.

TIP
Use uma instrução IF como IF(Revenue = Column Maximum*(Revenue*), 1, 0) para realçar o item de melhor desempenho no seu detalhamento.

Mínimo da coluna column-minimum

Efeito COLUMN MINIMUM(metric, include_zeros)

Retorna o menor valor em um conjunto de elementos de dimensão para uma coluna de métrica. O MINV é avaliado verticalmente em uma única coluna (métrica) nos elementos de dimensão.

Argumento
Descrição
métrica
Precisa de pelo menos uma métrica, mas pode usar quantas métricas forem necessárias como parâmetros.
include_zeros
Se os valores zero devem ser incluídos nos cálculos.

Caso de uso: identifique o valor de desempenho mais baixo em um detalhamento, como a campanha com menos conversões ou o dia com a receita mais baixa. Isso ajuda a destacar rapidamente os segmentos com baixo desempenho.

No Construtor de Métrica Calculada: Aplicar Mínimo da Coluna a uma métrica como Receita ou Taxa de Conversão ao detalhar por Campanha ou Dia. A função retorna o menor valor nessa coluna para cada linha.

TIP
Use uma instrução IF como IF(Revenue = Column Minimum*(Revenue*), 1, 0) para realçar o item de menor desempenho no seu detalhamento.

Soma da coluna column-sum

Efeito COLUMN SUM(metric)

Adiciona todos os valores numéricos de uma métrica em uma coluna (nos elementos de uma dimensão).

Argumento
Descrição
métrica
Precisa de pelo menos uma métrica, mas pode usar quantas métricas forem necessárias como parâmetros.

Caso de uso: calcule o total de todos os valores em um detalhamento, como a receita total em todos os produtos ou o total de visitas em todos os dias. Isso é útil quando você precisa de um total geral para comparar com valores de linha individuais.

No Construtor de Métrica Calculada: Aplique a Soma da Coluna a uma métrica como Receita ou Visitas enquanto faz o detalhamento por Produto ou Dia. A função retorna o total de todos os valores nessa coluna para cada linha.

TIP
Use quando precisar de uma referência ao total geral para calcular compartilhamentos ou porcentagens do desempenho total.

Contagem count

Efeito COUNT(metric)

[Tabela]{class="badge neutral"} Retorna o número, ou contagem, de valores diferentes de zero de uma métrica em uma coluna (o número de elementos exclusivos relatados em uma dimensão).

Argumento
Descrição
métrica
A métrica que deseja contar.

Caso de uso: conte o número de pontos de dados incluídos em um cálculo, como o número de dias em um intervalo de datas ou o número de produtos em um detalhamento. Isso ajuda quando é necessário saber quantos itens contribuem para um valor agregado.

No Construtor de Métrica Calculada: Aplique Count a uma métrica como Visitas ou Receita para retornar o número total de linhas (ou pontos de dados) incluídos no detalhamento ou intervalo de datas atual.

TIP
Use juntamente com Soma da Coluna para calcular médias manualmente (por exemplo, Soma da Coluna(Receita) / Contagem(Receita)).

Expoente exponent

Efeito EXPONENT(metric)

[Linha]{class="badge neutral"} Retorna “e” elevado à potência de um número fornecido. A constante e é igual a 2,71828182845904, a base do logaritmo natural. EXPONENT é o inverso de LN, o logaritmo natural de um número.

Argumento
Descrição
métrica
O exponente aplicado à base e.

Caso de uso: elevar um número ou uma métrica a uma potência especificada, como elevar ao quadrado um valor ou aplicar um fator de crescimento exponencial. Isso é útil ao modelar tendências de crescimento ou dimensionar uma métrica exponencialmente.

No Construtor de Métricas Calculadas: Use Expoente com uma métrica e um valor de potência. Por exemplo: Expoente(Visitas, 2) agrupa a métrica Visitas.

TIP
Combine com Logaritmo para modelagem avançada ou para suavizar dados altamente variáveis ao comparar padrões de crescimento.

Média mean

Efeito MEAN(metric, include_zeros)

[Tabela]{class="badge neutral"} Retorna a média aritmética de uma métrica em uma coluna.

Argumento
Descrição
métrica
A métrica para a qual você deseja obter a média.
include_zeros
Se os valores zero devem ser incluídos nos cálculos.

Caso de uso: calcule a média aritmética de um conjunto de valores, como a receita diária média ou o número médio de visitas por campanha. Isso ajuda a estabelecer uma linha de base para comparar valores individuais em um conjunto de dados.

No Construtor de Métrica Calculada: Aplique a Média a uma métrica como Receita ou Visitas para retornar o valor médio em todos os pontos de dados no detalhamento ou intervalo de datas selecionado.

TIP
Use para entender as tendências gerais de desempenho ou combine-as com Desvio Padrão para medir a consistência em relação à média.

Mediana median

Efeito MEDIAN(metric, include_zeros)

[Tabela]{class="badge neutral"} Retorna a mediana de uma métrica em uma coluna. A mediana é o número no meio de um conjunto de números. Ou seja, metade dos números tem valores maiores ou iguais à mediana e metade é menor ou igual à mediana.

Argumento
Descrição
métrica
A métrica para a qual você deseja obter a mediana.
include_zeros
Se os valores zero devem ser incluídos nos cálculos.

Caso de uso: identifique o valor médio em um conjunto de dados, como a receita diária mediana ou exibições de página medianas por visita. Isso é útil quando você deseja reduzir o impacto de outliers e ver a tendência central de seus dados.

No Construtor de Métrica Calculada: Aplique Mediana a uma métrica como Receita ou Exibições de página para retornar o valor do ponto médio em todos os pontos de dados no detalhamento ou intervalo de datas selecionado.

TIP
Use em vez da Média quando seus dados contiverem extremos altos ou baixos que podem distorcer a média.

Módulo modulo

Efeito MODULO(metric_X, metric_Y)

Retorna o resto após dividir x por y usando a divisão euclidiana.

Argumento
Descrição
metric_X
A primeira métrica que você deseja dividir.
metric_Y
A segunda métrica que você deseja dividir.

Caso de uso: retornar o restante após dividir um número por outro. Isso pode ser útil para padrões cíclicos ou repetitivos, como identificar todos os dias ou fazer uma campanha em sequência.

No Construtor de Métrica Calculada: Use Módulo com duas entradas numéricas. Por exemplo: Modulo(Número do Dia, 7) retorna o restante após dividir o número do dia por sete, o que pode ajudar a agrupar os dados por semana.

TIP
Combine com lógica condicional para destacar intervalos recorrentes ou segmentar dados com base em ciclos repetitivos.

Mais exemplos

O valor retornado tem o mesmo sinal que a entrada (ou é zero).

MODULO(4,3) = 1
MODULO(-4,3) = -1
MODULO(-3,3) = 0

Para obter sempre um número positivo, use

MODULO(MODULO(x,y)+y,y)

Percentil percentile

Efeito PERCENTILE(metric, k, include_zeros)

[Tabela]{class="badge neutral"} Retorna o enésimo percentil, que é um valor entre 0 e 100. Quando n < 0, a função usa zero. Quando n > 100, a função retorna 100.

Argumento
Descrição
métrica
O valor do percentil no intervalo de 0 a 100, incluso.
k
A coluna de métrica que define a posição relativa.
include_zeros
Se os valores zero devem ser incluídos nos cálculos.

Caso de uso: identifique o valor abaixo do qual determinada porcentagem de pontos de dados cai, como o 90º percentil da receita diária ou exibições de página. Isso ajuda a medir a distribuição e detectar outliers de alto desempenho.

No Construtor de Métricas Calculadas: Aplique Percentil a uma métrica como Receita ou Visitas e especifique o valor do percentil desejado (por exemplo, Percentil(Receita, 90)). O resultado mostra o limite abaixo do qual 90% dos pontos de dados estão.

TIP
Use o para definir benchmarks de desempenho ou filtrar dias, campanhas ou produtos com melhor desempenho.

Operador de potência power-operator

Efeito POWER OPERATOR(metric_X, metrix_Y)

Retorna x elevado à potência y.

Argumento
Descrição
metric_X
A métrica que você deseja elevar à potência metric_Y.
metric_Y
A potência à qual você deseja elevar a metric_X.

Caso de uso: eleva um número ou métrica ao poder de outro, como o quadricular de um valor ou aplicar um peso exponencial. Isso é útil ao modelar o crescimento, dimensionar valores ou executar transformações matemáticas avançadas.

No Construtor de Métrica Calculada: Use Operador de Energia entre dois valores numéricos ou métricas. Por exemplo: Revenue ^ 2 eleva o valor Revenue para a segunda potência.

TIP
Semelhante à função Expoente, mas expresso como um operador matemático, permitindo fórmulas mais compactas dentro das métricas calculadas.

Quartil quartile

Efeito QUARTILE(metric, quartile, include_zeros)

[Tabela]{class="badge neutral"} Retorna o quartil dos valores de uma métrica. Por exemplo, os quartis podem ser usados para encontrar a porcentagem de 25% dos produtos com maior receita. MÍNIMO DA COLUNA, MEDIANA e MÁXIMO DA COLUNA retornam o mesmo valor que QUARTIL quando o quartil é igual a 0 (zero), 2 e 4, respectivamente.

Argumento
Descrição
métrica
A métrica para a qual você deseja obter o valor do quartil.
quartil
Indica qual valor de quartil retornar.
include_zeros
Se os valores zero devem ser incluídos nos cálculos.

Caso de uso: divida um conjunto de dados em quatro partes iguais para entender como os valores são distribuídos, como identificar os 25% principais de dias por receita ou visitas. Isso ajuda a segmentar o desempenho em grupos classificados para uma comparação mais profunda.

No Construtor de Métricas Calculadas: Aplique Quartil a uma métrica como Receita ou Visitas e especifique qual quartil retornar (por exemplo, Quartil(Receita, 3) para encontrar o limite para o terceiro quartil ou os 25% principais).

TIP
Use o para agrupar valores em níveis de desempenho, como campanhas ou produtos de baixo, médio e alto desempenho.

Arredondar round

Efeito ROUND(metric, number)

Arredondar sem um parâmetro numérico é igual a arredondar com um parâmetro numérico de 0, ou seja, arredondar para o número inteiro mais próximo. Com um parâmetro numérico, ARREDONDAR retorna os dígitos numéricos à direita do separador decimal. Se o número for negativo, retornará zeros à esquerda do separador decimal.

Argumento
Descrição
metric
A métrica que deseja arredondar.
número
Quantos dígitos à direita do separador decimal devem retornar. (Se negativo, retorna zeros à esquerda do separador decimal).

Caso de uso: simplifique os resultados numéricos arredondando-os para um número especificado de casas decimais. Isso é útil para criar visualizações mais limpas ou facilitar a leitura das métricas calculadas nos relatórios.

No Construtor de Métricas Calculadas: Aplique Round a uma métrica ou expressão e especifique o número de casas decimais. Por exemplo: Round(Taxa de Conversão, 2) arredonda o valor para duas casas decimais.

TIP
Use para padronizar a formatação de métrica em todos os relatórios, especialmente ao exibir porcentagens ou valores de moeda.

Mais exemplos

ROUND( 314.15, 0) = 314
ROUND( 314.15, 1) = 314.1
ROUND( 314.15, -1) = 310
ROUND( 314.15, -2) = 300

Contagem de linhas row-count

Efeito ROW COUNT()

Retorna a contagem de linhas referente a uma determinada coluna (o número de elementos únicos relatados em uma dimensão). Únicos excedidos é contado como 1.

Caso de uso: conte o número total de linhas retornadas em um detalhamento ou conjunto de dados, como o número de dias, campanhas ou produtos incluídos em um relatório. Isso ajuda a entender quantos itens contribuem para sua análise.

No Construtor de Métrica Calculada: Aplique Contagem de Linhas para retornar o número total de linhas no detalhamento ou segmento atual. Por exemplo, ao exibir Receita por Produto, Contagem de Linhas retorna o número de produtos exibidos.

TIP
Use com outras funções como Soma de Coluna para calcular médias manualmente (por exemplo, Soma de Coluna(Receita) / Contagem de Linhas()).

Máx. de linhas row-max

Efeito ROW MAX(metric, include_zeros)

O máximo de colunas de cada linha.

Argumento
Descrição
métrica
Precisa de pelo menos uma métrica, mas pode usar quantas métricas forem necessárias como parâmetros.
include_zeros
Se os valores zero devem ser incluídos nos cálculos.

Caso de uso: identifique o valor mais alto em todas as métricas em uma única linha, como determinar qual métrica (por exemplo, Receita, Pedidos ou Visitas) tem o valor mais alto para um dia ou segmento específico. Isso ajuda a destacar qual métrica lidera em cada linha de dados.

No Construtor de Métrica Calculada: Aplicar Máximo de Linha quando várias métricas forem incluídas em uma métrica calculada. Por exemplo: Máximo de Linha(Receita, Pedidos, Visitas) retorna o maior valor entre essas métricas para cada linha.

TIP
Use para comparar métricas relacionadas lado a lado e identificar qual contribui mais para o desempenho em cada linha.

Mín. de linhas row-min

Efeito ROW MIN(metric, include_zeros)

O mínimo de colunas de cada linha.

Argumento
Descrição
métrica
Precisa de pelo menos uma métrica, mas pode usar quantas métricas forem necessárias como parâmetros.
include_zeros
Se os valores zero devem ser incluídos nos cálculos.

Caso de uso: identifique o valor mais baixo em todas as métricas em uma única linha, como descobrir qual métrica (por exemplo, Receita, Pedidos ou Visitas) tem o menor valor em um dia ou segmento específico. Isso ajuda a detectar a métrica de desempenho mais fraco em cada linha de dados.

No Construtor de Métrica Calculada: Aplicar Mínimo de Linha ao comparar várias métricas. Por exemplo: Mínimo de linha(Receita, Pedidos, Visitas) retorna o menor valor entre essas métricas para cada linha.

TIP
Combine com Máximo de linha para calcular intervalos de desempenho ou destacar métricas com baixo desempenho em uma comparação lado a lado.

Soma da linha row-sum

Efeito ROW SUM(metric, include_zeros)

A soma das colunas em cada linha.

Argumento
Descrição
métrica
Precisa de pelo menos uma métrica, mas pode usar quantas métricas forem necessárias como parâmetros.

Caso de uso: adicione os valores de várias métricas em uma única linha, como a soma de Receita e Imposto para calcular o valor total da transação, ou combine Visitas de diferentes fontes. Isso ajuda a consolidar métricas relacionadas em um total.

No Construtor de Métrica Calculada: Aplicar Soma de Linhas para combinar várias métricas. Por exemplo: Soma da Linha(Receita, Imposto) adiciona essas duas métricas para cada linha em seu detalhamento.

TIP
Use para criar totais combinados ou agrupar indicadores de desempenho relacionados em uma única métrica calculada.

Raiz quadrada square-root

Efeito SQUARE ROOT(metric, include_zeros)

[Linha]{class="badge neutral"} Retorna a raiz quadrada positiva de um número. A raiz quadrada de um número é o valor desse número elevado à potência de 1/2.

Argumento
Descrição
métrica
A métrica para a qual você deseja obter a raiz quadrada.

Caso de uso: retorna a raiz quadrada de um número ou métrica, como localizar a raiz da variação ao calcular o desvio padrão ou normalizar valores em um conjunto de dados. Isso é útil para cálculos estatísticos avançados ou de transformação de dados.

No Construtor de Métrica Calculada: Aplicar Raiz Quadrada a uma métrica ou expressão. Por exemplo: Raiz Quadrada(Variance(Revenue)) retorna o desvio padrão de Revenue.

TIP
Use quando precisar dimensionar métricas proporcionalmente ou para suportar outras funções estatísticas que dependem de valores raiz.

Desvio padrão standard-deviation

Efeito STANDARD DEVIATION(metric, include_zeros)

[Tabela]{class="badge neutral"} Retorna o desvio padrão, ou raiz quadrada da variância, com base em uma população de dados de amostra.

Argumento
Descrição
A métrica para a qual você deseja obter o desvio padrão.
include_zeros
Se os valores zero devem ser incluídos nos cálculos.

Caso de uso: meça quantos valores variam da média, como avaliar a consistência da receita diária ou das visitas ao longo do tempo. Isso ajuda a identificar a volatilidade, a estabilidade ou flutuações incomuns no desempenho.

No Construtor de Métrica Calculada: Aplique Desvio Padrão a uma métrica como Receita ou Visitas para calcular a distribuição de valores dentro do detalhamento ou intervalo de datas selecionado. Por exemplo: Desvio Padrão(Receita) mostra quanta receita diária se desvia da média.

TIP
Use com Média para detectar anomalias ou comparar a consistência de desempenho entre campanhas, produtos ou segmentos.

Variância variance

Efeito VARIANCE(metric, include_zeros)

[Tabela]{class="badge neutral"} Retorna a variância com base em uma população de dados de amostra.

Argumento
Descrição
métrica
A métrica para a qual você deseja obter a variação.
include_zeros
Se os valores zero devem ser incluídos nos cálculos.

Caso de uso: meça até que ponto os valores em um conjunto de dados se distribuem pela média, como analisar quanta receita diária ou duração da sessão varia ao longo do tempo. Isso ajuda a quantificar o grau de consistência ou flutuação no desempenho.

No Construtor de Métrica Calculada: Aplique Variação a uma métrica como Receita ou Tempo gasto por visita para calcular o desvio médio quadrático da média. Por exemplo: Variance(Revenue) mostra quantos valores de receita diferem da média no intervalo selecionado.

TIP
Use com o Desvio Padrão para entender melhor a variabilidade dos dados e identificar áreas de desempenho imprevisível.

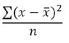
A equação de VARIAÇÃO é:

{width="100"}

Onde x é a média da amostra, MEAN(metric), e n é o tamanho da amostra.

Para calcular uma variação, considere uma coluna inteira de números. Nessa lista de números, calcule primeiro a média. Após obter a média, analise cada entrada e faça o seguinte:

  1. Subtraia a média do número.

  2. Eleve o resultado ao quadrado.

  3. Adicione-o ao total.

Quando você iterar por toda a coluna, terá um total único. Em seguida, você divide esse total pelo número de itens na coluna. Esse número é a variação da coluna. É um único número. No entanto, é exibido como uma coluna de números.

No exemplo da seguinte coluna de três itens:

coluna
1
2
3

A média dessa coluna é 2. A variação da coluna será ((1 - 2)2 + (2 - 2)2 + (3 - 2)2/3) = 2/3.

recommendation-more-help
46b8682c-fda6-4669-9355-1a44923e549e