Funzioni di base

Il Generatore di metriche calcolate consente di applicare funzioni statistiche e matematiche. Questo articolo documenta un elenco alfabetico delle funzioni e delle relative definizioni.

NOTE
Se metric è identificato come argomento in una funzione, sono consentite anche altre espressioni di metriche. Ad esempio, COLUMN MAXIMUM(metrics) consente anche COLUMN MAXIMUM(PageViews + Visits).

Funzioni tabella e funzioni riga

Una funzione tabella è una funzione in cui l’output è lo stesso per ogni riga della tabella. Una funzione riga è una funzione in cui l’output è diverso per ogni riga della tabella.

Se applicabile e pertinente, una funzione viene annotata con il tipo di funzione: [Tabella]{class="badge neutral"} o [Riga]{class="badge neutral"}

Che cosa significa il parametro include-zeros?

Il parametro indica se includere gli zeri all’interno del calcolo. Talvolta lo zero non ha alcun significato, ma in determinate occasioni può risultare importante.

Ad esempio, se hai una metrica Revenue (Entrate) e ne aggiungi al report una del tipo Page Views (Visualizzazioni pagina), improvvisamente saranno presenti più righe per le entrate che sono pari a zero. Probabilmente non vorrai che questa metrica aggiuntiva influisca su MEAN, ROW MINIMUM, QUARTILE e altri calcoli presenti nella colonna dei ricavi. In questo caso, dovrai controllare il parametro include-zeros.

In alternativa, puoi avere due metriche di interesse e una con una media o un minimo più elevati, perché alcune righe sono pari a zero. In tal caso, puoi scegliere di non selezionare il parametro per includere degli zeri

Valore assoluto absolute-value

Effetto ABSOLUTE VALUE(metric)

[Riga]{class="badge neutral"} Restituisce il valore assoluto di un numero. Il valore assoluto di un numero è il numero con un valore positivo.

Argomento
Descrizione
metrica
La metrica della quale desideri calcolare il valore assoluto.

Caso d'uso: assicurati che tutti i risultati siano positivi durante l'analisi di metriche che potrebbero produrre valori negativi, come delta ricavi o modifiche percentuali. Questo aiuta a focalizzare l'attenzione sulla portata del cambiamento indipendentemente dalla direzione.

Nel Generatore di metriche calcolate: racchiudere la metrica o l'espressione nella funzione Valore assoluto, ad esempio: Valore assoluto(Ricavi correnti - Ricavi precedenti). In questo modo eventuali differenze negative vengono convertite in valori positivi.

TIP
Utilizzalo per misurare le differenze assolute tra due periodi di tempo o segmenti, indipendentemente dal fatto che le prestazioni siano aumentate o diminuite.

Massimo colonna column-maximum

Effetto COLUMN MAXIMUM(metric, include_zeros)

Restituisce il valore più grande in un insieme di elementi dimensionali della colonna di una metrica. MAXV valuta verticalmente all’interno di una singola colonna (metrica) tra gli elementi dimensionali.

Argomento
Descrizione
metrica
Richiede almeno una metrica, ma può accettare un numero qualsiasi di metriche come parametri.
include_zeros
Specifica se includere o meno valori zero nei calcoli.

Caso d'uso: identifica il valore più alto all'interno di un raggruppamento, ad esempio il giorno con il maggior numero di visite o il prodotto con il maggior fatturato. Questo consente di evidenziare i picchi di prestazioni tra le categorie.

Nel Generatore di metriche calcolate: applica Numero massimo colonne a una metrica come Ricavi o Visite quando esegui la suddivisione per Giorno o Prodotto. La funzione restituisce il valore più grande in quella colonna per ogni riga.

TIP
Utilizza un'istruzione IF, ad esempio IF(Revenue = Column Maximum*(Revenue*), 1, 0) per evidenziare l'elemento con prestazioni migliori nel raggruppamento.

Minimo colonna column-minimum

Effetto COLUMN MINIMUM(metric, include_zeros)

Restituisce il valore più piccolo in un insieme di elementi dimensionali della colonna di una metrica. MINV valuta verticalmente all’interno di una singola colonna (metrica) tra gli elementi dimensionali.

Argomento
Descrizione
metrica
Richiede almeno una metrica, ma può accettare un numero qualsiasi di metriche come parametri.
include_zeros
Specifica se includere o meno valori zero nei calcoli.

Caso d'uso: identifica il valore con le prestazioni più basse all'interno di un raggruppamento, ad esempio la campagna con le conversioni più basse o il giorno con le entrate più basse. Questo consente di far emergere rapidamente segmenti poco performanti.

Nel Generatore di metriche calcolate: Applica Colonna minima a una metrica come Ricavo o Tasso di conversione quando si suddivide per Campagna o Giorno. La funzione restituisce il valore più piccolo in quella colonna per ogni riga.

TIP
Utilizza un'istruzione IF, ad esempio IF(Revenue = Column Minimum*(Revenue*), 1, 0) per evidenziare l'elemento con le prestazioni peggiori nel raggruppamento.

Somma colonna column-sum

Effetto COLUMN SUM(metric)

Somma tutti i valori numerici di una metrica all’interno di una colonna (negli elementi di una dimensione).

Argomento
Descrizione
metrica
Richiede almeno una metrica, ma può accettare un numero qualsiasi di metriche come parametri.

Caso d'uso: calcola il totale di tutti i valori all'interno di un raggruppamento, ad esempio i ricavi totali per tutti i prodotti o le visite totali per tutti i giorni. Questo è utile quando hai bisogno di un totale complessivo da confrontare con i singoli valori di riga.

Nel Generatore di metriche calcolate: Applica Somma colonna a una metrica come Ricavi o Visite durante la suddivisione per Prodotto o Giorno. La funzione restituisce il totale di tutti i valori in quella colonna per ogni riga.

TIP
Utilizzare quando è necessario un riferimento al totale complessivo per calcolare le quote o le percentuali delle prestazioni totali.

Conteggio count

Effetto COUNT(metric)

[Tabella]{class="badge neutral"} Restituisce il numero, o conteggio, di valori diversi da zero per una metrica all'interno di una colonna (il numero di elementi univoci riportati all'interno di una dimensione).

Argomento
Descrizione
metrica
La metrica da conteggiare.

Caso d'uso: conta il numero di punti dati inclusi in un calcolo, ad esempio il numero di giorni in un intervallo di date o il numero di prodotti in un raggruppamento. Questo aiuta quando devi sapere quanti elementi contribuiscono a un valore aggregato.

Nel generatore di metriche calcolate: applica Count a una metrica come Visite o Entrate per restituire il numero totale di righe (o punti dati) incluse nel raggruppamento o nell'intervallo di date corrente.

TIP
Usare insieme a Somma colonna per calcolare manualmente le medie (ad esempio, Somma colonna(Ricavi) / Conteggio(Ricavi)).

Esponente exponent

Effetto EXPONENT(metric)

[Riga]{class="badge neutral"} Restituisce e elevato alla potenza di un numero specificato. La costante e è uguale a 2,71828182845904, la base del logaritmo naturale. ESPONENTE è l’inverso di LN, il logaritmo naturale di un numero.

Argomento
Descrizione
metrica
L’esponente applicato alla base e.

Caso d'uso: aumentare un numero o una metrica a una determinata potenza, ad esempio quadrare un valore o applicare un fattore di crescita esponenziale. Ciò è utile quando si modellano le tendenze di crescita o si ridimensiona una metrica in modo esponenziale.

Nel Generatore di metriche calcolate: utilizzare Esponente con una metrica e un valore di alimentazione. Ad esempio: Esponente(Visite, 2) quadra la metrica Visite.

TIP
Combina con Logaritmo per la modellazione avanzata o per uniformare i dati altamente variabili durante il confronto dei modelli di crescita.

Media mean

Effetto MEAN(metric, include_zeros)

[Tabella]{class="badge neutral"} Restituisce la media aritmetica di una metrica in una colonna.

Argomento
Descrizione
metrica
La metrica di cui desideri calcolare la media.
include_zeros
Specifica se includere o meno valori zero nei calcoli.

Caso d'uso: calcola la media aritmetica di un set di valori, ad esempio il ricavo medio giornaliero o il numero medio di visite per campagna. Questo aiuta a stabilire una linea di base per il confronto di singoli valori all’interno di un set di dati.

Nel Generatore di metriche calcolate: Applica Media a una metrica come Ricavi o Visite per restituire il valore medio in tutti i punti dati nel raggruppamento o nell'intervallo di date selezionato.

TIP
Utilizzare per comprendere le tendenze generali delle prestazioni o combinarle con Deviazione standard per misurare la coerenza rispetto alla media.

Mediana median

Effetto MEDIAN(metric, include_zeros)

[Tabella]{class="badge neutral"} Restituisce la mediana di una metrica in una colonna. La mediana è il numero al centro di un insieme di numeri. In altre parole, metà dei numeri è costituita da valori maggiori o uguali alla mediana e l’altra metà da quelli minori o uguali alla mediana.

Argomento
Descrizione
metrica
La metrica di cui desideri calcolare la mediana.
include_zeros
Specifica se includere o meno valori zero nei calcoli.

Caso d'uso: identifica il valore intermedio in un set di dati, ad esempio il ricavo giornaliero mediano o le visualizzazioni di pagina mediane per visita. Questa funzione è utile quando vuoi ridurre l’impatto di valori anomali e individuare la tendenza centrale dei dati.

Nel generatore di metriche calcolate: Applica mediana a una metrica come Ricavi o Visualizzazioni pagina per restituire il valore del punto intermedio in tutte le coordinate nel raggruppamento o nell'intervallo di date selezionato.

TIP
Utilizza invece di Media quando i tuoi dati contengono valori massimi o minimi che potrebbero distorcere la media.

Modulo modulo

Effetto MODULO(metric_X, metric_Y)

Restituisce il resto dopo aver diviso x per y utilizzando la divisione euclidea.

Argomento
Descrizione
metric_X
La prima metrica che desideri dividere.
metric_Y
La seconda metrica che desideri dividere.

Caso d'uso: restituire il resto dopo aver diviso un numero per un altro. Questo può essere utile per modelli ciclici o ripetuti, come l’identificazione ogni giorno ennesimo o una campagna in una sequenza.

Nel generatore di metriche calcolate: utilizzare Modulo con due input numerici. Ad esempio: Modulo(Numero giorno, 7) restituisce il resto dopo aver diviso il numero giorno per sette, in modo da semplificare il raggruppamento dei dati per settimana.

TIP
Combina con logica condizionale per evidenziare intervalli ricorrenti o per segmentare i dati in base a cicli ripetuti.

Altri esempi

Il valore restituito ha lo stesso segno dell’input (o è zero).

MODULO(4,3) = 1
MODULO(-4,3) = -1
MODULO(-3,3) = 0

Per ottenere sempre un numero positivo, utilizza

MODULO(MODULO(x,y)+y,y)

Percentile percentile

Effetto PERCENTILE(metric, k, include_zeros)

[Tabella]{class="badge neutral"} Restituisce l'ennesimo percentile, che è un valore compreso tra 0 e 100. Quando n < 0, la funzione utilizza zero. Quando n > 100, la funzione restituisce 100.

Argomento
Descrizione
metrica
Il valore percentile compreso tra 0 e 100 incluso.
k
La colonna della metrica che definisce la condizione relativa.
include_zeros
Specifica se includere o meno valori zero nei calcoli.

Caso d'uso: identifica il valore al di sotto del quale rientra una determinata percentuale di punti dati, ad esempio il 90° percentile delle entrate giornaliere o delle visualizzazioni di pagina. Questo consente di misurare la distribuzione e rilevare valori anomali ad alte prestazioni.

Nel Generatore di metriche calcolate: Applica Percentile a una metrica come Ricavi o Visite e specifica il valore percentile desiderato (ad esempio, Percentile(Ricavi, 90)). Il risultato mostra la soglia al di sotto della quale il 90% dei punti dati.

TIP
Utilizza per impostare benchmark di prestazioni o per filtrare in base alle giornate, campagne o prodotti con prestazioni migliori.

Operatore di potenza power-operator

Effetto POWER OPERATOR(metric_X, metrix_Y)

Restituisce x elevato alla potenza y.

Argomento
Descrizione
metric_X
La metrica da elevare alla potenza metric_Y.
metric_Y
La potenza a cui desideri elevare metric_X.

Caso d'uso: aumentare un numero o una metrica alla potenza di un altro, ad esempio quadrare un valore o applicare un peso esponenziale. Questo è utile quando si modellano la crescita, si scalano i valori o si eseguono trasformazioni matematiche avanzate.

Nel Generatore di metriche calcolate: utilizzare Operatore avanzato tra due valori numerici o metriche. Ad esempio: Revenue ^ 2 eleva il valore Revenue alla seconda potenza.

TIP
Simile alla funzione Esponente ma espressa come operatore matematico, consente formule più compatte nelle metriche calcolate.

Quartile quartile

Effetto QUARTILE(metric, quartile, include_zeros)

[Tabella]{class="badge neutral"} Restituisce il quartile dei valori per una metrica. Ad esempio, i quartili possono essere utilizzati per trovare il 25% dei prodotti che generano maggiori ricavi. COLUMN MINIMUM, MEDIAN e COLUMN MAXIMUM restituiscono lo stesso valore di QUARTILE quando quartile è uguale rispettivamente a 0 (zero), 2 e 4.

Argomento
Descrizione
metrica
La metrica di cui desideri calcolare il valore del quartile.
quartile
Indica quale valore del quartile restituire.
include_zeros
Specifica se includere o meno valori zero nei calcoli.

Caso d'uso: dividi un set di dati in quattro parti uguali per capire come vengono distribuiti i valori, ad esempio per identificare il primo 25% dei giorni in base ai ricavi o alle visite. Questo consente di segmentare le prestazioni in gruppi classificati per un confronto più approfondito.

Nel Generatore di metriche calcolate: Applica Quartile a una metrica come Ricavi o Visite e specifica il quartile da restituire (ad esempio, Quartile(Ricavi, 3) per trovare la soglia per il terzo quartile, o il 25% superiore).

TIP
Utilizzare per raggruppare i valori in livelli di prestazioni quali campagne o prodotti a basse, medie e alte prestazioni.

Arrotondamento round

Effetto ROUND(metric, number)

L’arrotondamento senza un parametro numerico è uguale all’arrotondamento con un parametro numero pari a 0, vale a dire arrotondato al numero intero più vicino. Con un parametro numerico ROUND restituisce il numero di cifre a destra del decimale. Se il numero è negativo, restituisce gli 0 a sinistra del decimale.

Argomento
Descrizione
metrica
La metrica da arrotondare.
number
Quante cifre a destra del decimale restituire. Se la cifra è negativa, restituisce gli zero a sinistra del decimale.

Caso d'uso: i risultati numerici vengono arrotondati a un numero specificato di cifre decimali. Questa funzione è utile per creare visualizzazioni più nitide o per semplificare la lettura delle metriche calcolate nei rapporti.

Nel generatore di metriche calcolate: Applica Round a una metrica o espressione e specifica il numero di posizioni decimali. Ad esempio: Round(Tasso di conversione, 2) arrotonda il valore a due posizioni decimali.

TIP
Utilizza per standardizzare la formattazione delle metriche nei rapporti, in particolare quando vengono visualizzate percentuali o valori di valuta.

Altri esempi

ROUND( 314.15, 0) = 314
ROUND( 314.15, 1) = 314.1
ROUND( 314.15, -1) = 310
ROUND( 314.15, -2) = 300

Conteggio righe row-count

Effetto ROW COUNT()

Restituisce il numero di righe di una colonna specificata (il numero di elementi univoci riportati all’interno di una dimensione). Univoci superati viene conteggiato come 1.

Caso d'uso: conta il numero totale di righe restituite in un raggruppamento o in un set di dati, ad esempio il numero di giorni, campagne o prodotti inclusi in un rapporto. Questo aiuta a capire quanti elementi contribuiscono all’analisi.

Nel Generatore di metriche calcolate: Applica Conteggio righe per restituire il numero totale di righe nel raggruppamento o nel segmento corrente. Ad esempio, quando si visualizzano Ricavi per Prodotto, Conteggio righe restituisce il numero di prodotti visualizzati.

TIP
Usare con altre funzioni come Somma colonna per calcolare manualmente le medie (ad esempio, Somma colonna(Ricavi) / Conteggio righe()).

Massimo riga row-max

Effetto ROW MAX(metric, include_zeros)

Il massimo delle colonne di ogni riga.

Argomento
Descrizione
metrica
Richiede almeno una metrica, ma può accettare un numero qualsiasi di metriche come parametri.
include_zeros
Specifica se includere o meno valori zero nei calcoli.

Caso d'uso: identifica il valore più alto in tutte le metriche in una singola riga, ad esempio determinando quale metrica (ad esempio, Ricavi, Ordini o Visite) ha il valore più alto per un giorno o segmento specifico. Questo aiuta a evidenziare quale metrica lead all’interno di ogni riga di dati.

Nel generatore di metriche calcolate: applicare Massimo riga quando più metriche sono incluse in una metrica calcolata. Ad esempio: Numero massimo righe(Ricavi, Ordini, Visite) restituisce il valore più grande tra queste metriche per ogni riga.

TIP
Utilizza per confrontare le metriche correlate una accanto all’altra e identificare quale contribuisce maggiormente alle prestazioni all’interno di ogni riga.

Minimo riga row-min

Effetto ROW MIN(metric, include_zeros)

Minimo di colonne di ogni riga.

Argomento
Descrizione
metrica
Richiede almeno una metrica, ma può accettare un numero qualsiasi di metriche come parametri.
include_zeros
Specifica se includere o meno valori zero nei calcoli.

Caso d'uso: identifica il valore più basso in tutte le metriche in una singola riga, ad esempio la ricerca della metrica (ad esempio, Ricavi, Ordini o Visite) con il valore più basso per un giorno o un segmento particolare. Questo consente di individuare la metrica con le prestazioni più deboli all’interno di ogni riga di dati.

Nel Generatore di metriche calcolate: applicare Minimo riga quando si confrontano più metriche. Ad esempio: Minimo riga(Ricavi, Ordini, Visite) restituisce il valore più piccolo tra queste metriche per ogni riga.

TIP
Combina con il valore Maximum di riga per calcolare gli intervalli di prestazioni o per evidenziare metriche con prestazioni inferiori in un confronto affiancato.

Somma righe row-sum

Effetto ROW SUM(metric, include_zeros)

Somma delle colonne di ogni riga.

Argomento
Descrizione
metrica
Richiede almeno una metrica, ma può accettare un numero qualsiasi di metriche come parametri.

Caso d'uso: aggiungi i valori di più metriche all'interno di una singola riga, ad esempio sommando Ricavi e Imposta per calcolare il valore totale della transazione o combinando Visite da origini diverse. Questo consente di consolidare le metriche correlate in un unico totale.

Nel generatore di metriche calcolate: applica Somma righe per combinare più metriche. Ad esempio: Row Sum(Revenue, Tax) aggiunge queste due metriche per ogni riga della suddivisione.

TIP
Utilizza per creare totali combinati o per raggruppare gli indicatori di prestazioni correlati in un’unica metrica calcolata.

Radice quadrata square-root

Effetto SQUARE ROOT(metric, include_zeros)

[Riga]{class="badge neutral"} Restituisce la radice quadrata positiva di un numero. La radice quadrata di un numero è il valore di quel numero elevato alla potenza di 1/2.

Argomento
Descrizione
metrica
Metrica per la quale desideri calcolare la radice quadrata.

Caso d'uso: restituisce la radice quadrata di un numero o di una metrica, ad esempio la ricerca della radice della varianza durante il calcolo della deviazione standard o la normalizzazione dei valori in un set di dati. Ciò è utile per calcoli statistici o di trasformazione dei dati avanzati.

Nel generatore di metriche calcolate: applicare Radice quadrata a una metrica o espressione. Ad esempio: Radice quadrata(Varianza(Ricavi)) restituisce la deviazione standard di Ricavi.

TIP
Da utilizzare quando è necessario scalare le metriche in modo proporzionale o per supportare altre funzioni statistiche che si basano sui valori radice.

Deviazione standard standard-deviation

Effetto STANDARD DEVIATION(metric, include_zeros)

[Tabella]{class="badge neutral"} Restituisce la deviazione standard, o radice quadrata della varianza, in base a una popolazione di dati campione.

Argomento
Descrizione
Metrica per la quale desideri calcolare la deviazione standard.
include_zeros
Specifica se includere o meno valori zero nei calcoli.

Caso d'uso: misura quanto valori variano rispetto alla media, ad esempio valutando la coerenza delle entrate giornaliere o delle visite nel tempo. Questo aiuta a identificare volatilità, stabilità o fluttuazioni insolite nelle prestazioni.

Nel generatore di metriche calcolate: applica deviazione standard a una metrica come Ricavi o Visite per calcolare la distribuzione dei valori all'interno del raggruppamento o dell'intervallo di date selezionato. Ad esempio: Deviazione standard(Ricavi) mostra il numero di ricavi giornalieri che si discostano dalla media.

TIP
Utilizza con Media per rilevare anomalie o confrontare la coerenza delle prestazioni tra campagne, prodotti o segmenti.

Varianza variance

Effetto VARIANCE(metric, include_zeros)

[Tabella]{class="badge neutral"} Restituisce la varianza in base a una popolazione di dati campione.

Argomento
Descrizione
metrica
Metrica per la quale desideri calcolare la varianza.
include_zeros
Specifica se includere o meno valori zero nei calcoli.

Caso d'uso: misura quanto i valori in un set di dati si distaccano dalla media, ad esempio analizzando il numero di entrate giornaliere o la durata della sessione che varia nel tempo. Questo consente di quantificare il grado di coerenza o fluttuazione nelle prestazioni.

Nel Generatore di metriche calcolate: Applica Varianza a una metrica come Ricavi o Tempo trascorso per visita per calcolare la deviazione media al quadrato dalla media. Ad esempio: Varianza(Ricavi) mostra quanto i valori dei ricavi differiscono dalla media nell'intervallo selezionato.

TIP
Usare con Deviazione standard per comprendere meglio la variabilità dei dati e identificare aree di prestazioni imprevedibili.

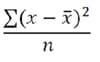
L’equazione per VARIANCE è:

{width="100"}

Dove x è la media del campione, MEAN(metrica) e n è la dimensione del campione.

Per calcolare una varianza, considera un’intera colonna di numeri. Di tale elenco di numeri si calcola prima la media. Una volta ottenuta la media, si esamina ogni voce e si effettuano le seguenti operazioni:

  1. Si sottrae la media dal numero.

  2. Si eleva al quadrato il risultato.

  3. Si aggiunge al totale.

Dopo aver ripetuto per l’intera colonna, si ottiene un singolo totale. Si divide quindi il totale per il numero di elementi nella colonna. Tale numero è la varianza della colonna. È un singolo numero. Viene tuttavia visualizzato come una colonna di numeri.

Nell’esempio della seguente colonna a tre elementi:

colonna
1
2
3

La media di questa colonna è 2. La varianza della colonna sarà ((1 - 2)2 + (2 - 2)2 + (3 - 2)2/3 = 2/3.

recommendation-more-help
46b8682c-fda6-4669-9355-1a44923e549e