Explicación de los cálculos estadísticos en el informe de experimentación experiment-report-calculations

Esta página documenta los cálculos estadísticos detallados utilizados en el Informe de experimentación para campañas en Adobe Journey Optimizer.

Tenga en cuenta que esta página está destinada a usuarios técnicos.

Tasa de conversión

La tasa de conversión de media, para cada tratamiento ν de un experimento se define como una relación entre la suma de la métrica y el número de perfiles asignados a esa métrica, N:

{align="center" width="125"}

En este caso, Yi es el valor de la métrica del objetivo para cada perfil i, que se ha asignado a una variante determinada **. Cuando la métrica del objetivo es una métrica "única", es decir, es un recuento del número de perfiles que realizan una acción concreta, se muestra como una tasa de conversión y se le aplica un formato de porcentaje. Cuando la métrica es una métrica de "recuento" o "valor total" (por ejemplo, aperturas de correo electrónico, ingresos respectivamente), la estimación media de la métrica se muestra como "Recuento por perfil" o "Valor por perfil".

Siempre que sea necesario, la desviación estándar de la muestra se utiliza con la expresión:

{align="center" width="225"}

Alza lift

El alza entre una variante ** y la variante de control 0 es el "delta" relativo en las tasas de conversión, definido como el cálculo siguiente, donde las tasas de conversión individuales son como se definen arriba. Esto se muestra como un porcentaje.

{align="center" width="125"}

Intervalos de confianza válidos en cualquier momento para tratamientos individuales

El panel Experimentación con Recorridos muestra intervalos de confianza "válidos en cualquier momento" (secuencias de confianza) para tratamientos individuales en un experimento.

La secuencia de confianza para una variante individual ν es fundamental para la metodología estadística utilizada por Adobe. Puede encontrar su definición en esta página (reproducida de [Waudby-Smith y otros]).

Si le interesa estimar un parámetro de destino ψ, como la tasa de conversión de una variante en un experimento, la dicotomía entre una secuencia de intervalos de confianza (CI) de tiempo fijo y una secuencia de confianza uniforme en el tiempo (CS) se puede resumir de la siguiente manera:

{align="center" width="500"}

Para un intervalo de confianza normal, la garantía probabilística de que el parámetro de destino se encuentra dentro del intervalo de valores de n es válido solamente en un único valor fijo de n (donde n es el número de muestras). Por el contrario, para una secuencia de confianza, se garantiza que en todo momento/ todos los valores del tamaño de muestra t, el valor "true" del parámetro de interés se encuentre dentro de los límites.

Esto tiene algunas implicaciones profundas que son muy importantes para las pruebas en línea:

  • El CSS se puede actualizar de forma opcional cada vez que haya nuevos datos disponibles.
  • Los experimentos pueden monitorizarse continuamente, detenerse de forma adaptativa o continuar.
  • El error de tipo I se controla en todos los momentos de detención, incluidos los tiempos que dependen de los datos.

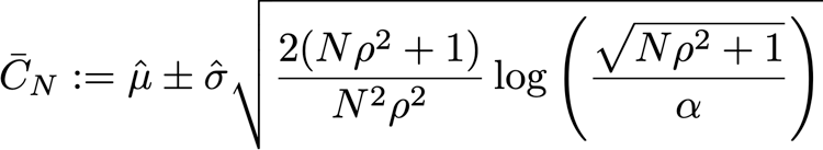
Adobe utiliza secuencias de confianza asintóticas, que para una variante individual con estimación media μ tienen la forma:

{align="center" width="300"}

Donde:

  • N es el número de unidades de esa variante.
  • σ es una estimación de muestra de la desviación estándar (definida anteriormente).
  • α es el nivel deseado de error de tipo I (o probabilidad de cobertura incorrecta). Siempre se establece en 0,05.
  • La constante 2 es una constante que ajusta el tamaño de muestra con el que el CS es más ajustado. Adobe ha elegido un valor universal de los valores siguientes: 2 = 10-2.8, que es apropiado para los tipos de tasas de conversión que se ven en los experimentos en línea.

Confianza confidence

La confianza utilizada por Adobe es una confianza "válida en cualquier momento", que se obtiene invirtiendo la secuencia de confianza del efecto medio del tratamiento.

Para ser precisos, en una prueba de dos muestras t para la diferencia de medias entre dos variantes, hay una asignación de 1:1 entre el valor de p para esta prueba y el intervalo de confianza para la diferencia de medias. Por analogía, se puede obtener un valor p válido en cualquier momento invirtiendo la secuencia de confianza (válida en cualquier momento) para el estimador de efecto de tratamiento promedio:

{align="center" width="200"}

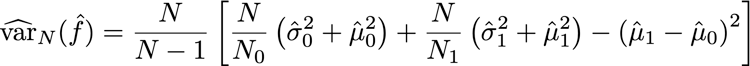
En este caso, E es una expectativa. El estimador utilizado es un estimador de tendencia inversa ponderada (PPI). Consideremos N = N0 +N1 unidades, las asignaciones de variante para cada unidad i etiquetada por Ai=0,1 si la unidad está asignada a la variante ν=0,1. Si a los usuarios se les asigna una probabilidad fija (propensión)0, (1-0) y su métrica de resultado es Yi, el estimador de IPW para el efecto de tratamiento promedio es:

{align="center" width="400"}

Observando que f es la función de influencia, Waudby-Smith y otros. mostró que la Secuencia de confianza para este estimador es:

{align="center" width="500"}

Sustituyendo la probabilidad de asignación por sus estimaciones empíricas:0 = N0/N, el término de varianza puede expresarse en términos de estimaciones medias individuales de la muestra:0,1 y estimaciones de la desviación estándar,0,1 como:

{align="center" width="500"}

A continuación, recuerde que para una prueba de hipótesis regular con la estadística de prueba z = (A-0/p) hay una correspondencia entre los valores de p y los intervalos de confianza:

{align="center" width="500"}

donde Φ es la distribución acumulativa de la normalidad estándar. Para cualquier momento válido p-valores, dada la secuencia de confianza para el efecto de tratamiento promedio definido anteriormente, podemos invertir esta relación:

{align="center" width="600"}

Finalmente, la confianza válida en cualquier momento anytime es:

{align="center" width="200"}

Declarar un experimento como concluyente

Para un experimento con dos ramas, el panel Experimentación con Journey Optimizer muestra un mensaje que indica que un experimento es concluyente cuando la confianza válida en cualquier momento supera el 95 % (es decir, el valor válido en cualquier momento p está por debajo del 5 %).

Cuando hay más de dos variantes, se aplica la corrección de Bonferroni para controlar la tasa de error en el sentido familiar. Para un experimento con K tratamientos y un único tratamiento de línea de base (control), hay K-1 pruebas de hipótesis independientes. La corrección de Bonferroni significa que rechazamos la hipótesis nula de que el control y una variante determinada tienen medios iguales, si el valor de p válido en cualquier momento (definido anteriormente) está por debajo de un umbral de α/(K-1).

Brazo con mejor rendimiento

Cuando se declara que un experimento es concluyente, se muestra el brazo con mejor rendimiento. Este es el brazo con el mejor rendimiento (media o tasa de conversión más alta), entre el conjunto que incluye el control y todos los brazos que tienen un valor de p por debajo del umbral de Bonferroni.

recommendation-more-help
b22c9c5d-9208-48f4-b874-1cefb8df4d76