Funciones básicas

El Creador de métricas calculadas permite aplicar funciones estadísticas y matemáticas. Este artículo documenta una lista alfabética de las funciones y sus definiciones.

NOTE
Cuando metric se identifica como un argumento en una función, también se permiten otras expresiones de métricas. Por ejemplo, COLUMNA MÁXIMA(métricas) también permite COLUMNA MÁXIMA(Visitas a la página + Visitas).

Funciones de tabla en comparación con funciones de fila

Una función de tabla es aquella en la que el resultado es el mismo para cada fila de la tabla. Una función de fila es aquella en la que el resultado es diferente para cada fila de la tabla.

Cuando sea aplicable y relevante, una función se anota con el tipo de función: [Tabla]{class="badge neutral"} o [Fila]{class="badge neutral"}

¿Qué significa el parámetro include-zeros?

Indica si se incluyen ceros en el cálculo. En algunas ocasiones cero significa nada, pero en ocasiones es importante.

Por ejemplo, si tiene una métrica Ingresos y, a continuación, agrega una métrica Vistas de página al informe, de repente hay más filas para sus ingresos, todas con valor de cero. Probablemente, no quiera que esa métrica adicional afecte a ninguna MEDIA, MÍNIMO DE FILA, CUARTIL y más cálculos que tenga en la columna de ingresos. En este caso, comprobaría el parámetro include-zeros.

Un escenario alternativo es que tiene dos métricas de interés y una tiene un promedio o un mínimo más alto porque algunas de las filas son ceros. En ese caso, puede optar por no marcar el parámetro para incluir ceros

Valor absoluto absolute-value

Efecto VALOR ABSOLUTO(métrica)

[Fila]{class="badge neutral"} Devuelve el valor absoluto de un número. El valor absoluto de un número es el número con un valor positivo.

Argumento
Descripción
métrica
La métrica para la cual desea calcular el valor absoluto.

Caso de uso: Asegúrese de que todos los resultados sean positivos al analizar métricas que puedan producir valores negativos, como diferencias de ingresos o cambios de porcentaje. Esto ayuda a centrarse en la magnitud del cambio sin tener en cuenta la dirección.

En el Creador de métricas calculadas: ajuste la métrica o expresión en la función Valor absoluto, por ejemplo: Valor absoluto(Ingresos actuales - Ingresos anteriores). Esto convierte cualquier diferencia negativa en valores positivos.

TIP
Utilice esto para medir diferencias absolutas entre dos períodos de tiempo o segmentos, independientemente de si el rendimiento ha aumentado o disminuido.

Máximo de columna column-maximum

Efecto MÁXIMO DE COLUMNA(métrica, include_zeros)

Devuelve el mayor valor en un conjunto de elementos de una dimensión para una columna de métrica. MAXV se evalúa verticalmente dentro de una sola columna (métrica) entre elementos de dimensión.

Argumento
Descripción
métrica
Requiere al menos una métrica, pero puede tomar cualquier número de métricas como parámetros.
include_zeros
Indica si se deben incluir o no valores cero en los cálculos.

Caso de uso: identifique el valor más alto dentro de un desglose, como el día con la mayor cantidad de visitas o el producto con los ingresos más altos. Esto ayuda a resaltar el rendimiento máximo entre categorías.

En el Creador de métricas calculadas: aplique Máximo de columna a una métrica como Ingresos o Visitas al desglosar por Día o Producto. La función devuelve el valor mayor de esa columna para cada fila.

TIP
Use una instrucción IF como IF(Ingresos = Máximo de columna*(Ingresos*), 1, 0) para resaltar el elemento de mayor rendimiento en el desglose.

Mínimo de columna column-minimum

Efecto MÍNIMO DE COLUMNA(métrica, include_zeros)

Devuelve el valor más pequeño en un conjunto de elementos de una dimensión para una columna de métrica. MINV se evalúa verticalmente dentro de una sola columna (métrica) entre elementos de dimensión.

Argumento
Descripción
métrica
Requiere al menos una métrica, pero puede tomar cualquier número de métricas como parámetros.
include_zeros
Indica si se deben incluir o no valores cero en los cálculos.

Caso de uso: identifique el valor de menor rendimiento dentro de un desglose, como la campaña con la menor cantidad de conversiones o el día con la menor cantidad de ingresos. Esto ayuda a que aparezcan rápidamente segmentos de bajo rendimiento.

En el Creador de métricas calculadas: aplique Mínimo de columna a una métrica como Ingresos o Tasa de conversión al desglosar por Campaña o Día. La función devuelve el valor más pequeño de esa columna para cada fila.

TIP
Use una instrucción IF como IF(Ingresos = Mínimo de columna*(Ingresos*), 1, 0) para resaltar el elemento con menor rendimiento en su desglose.

Suma de columna column-sum

Efecto SUMA DE COLUMNA(métrica)

Suma todos los valores numéricos de una métrica dentro de una columna (entre los elementos de una dimensión).

Argumento
Descripción
métrica
Requiere al menos una métrica, pero puede tomar cualquier número de métricas como parámetros.

Caso de uso: calcule el total de todos los valores dentro de un desglose, como los ingresos totales en todos los productos o las visitas totales en todos los días. Esto resulta útil cuando necesita un total general para compararlo con valores de fila individuales.

En el Creador de métricas calculadas: aplique Suma de columna a una métrica como Ingresos o Visitas al desglosar por Producto o Día. La función devuelve el total de todos los valores de esa columna para cada fila.

TIP
Utilícelo cuando necesite una referencia al total general para calcular acciones o porcentajes del rendimiento total.

Recuento count

Efecto RECUENTO(métrica)

[Tabla]{class="badge neutral"}Devuelve un número, o recuento, de valores distintos de cero para una métrica dentro de una columna (el número de elementos únicos notificados dentro de una dimensión).

Argumento
Descripción
métrica
La métrica que desea contar.

Caso de uso: cuente el número de puntos de datos incluidos en un cálculo, como el número de días en un intervalo de fechas o el número de productos en un desglose. Esto resulta útil cuando necesita saber cuántos elementos contribuyen a un valor agregado.

En el Creador de métricas calculadas: aplique Count a una métrica como Visits o Revenue para devolver el número total de filas (o puntos de datos) incluidos en el desglose o intervalo de fechas actual.

TIP
Use junto con Suma de columna para calcular promedios manualmente (por ejemplo, Suma de columna(Ingresos) / Recuento(Ingresos)).

Exponente exponent

Efecto EXPONENTE(métrica)

[Fila]{class="badge neutral"} Devuelve e elevado a la potencia de un número determinado. La constante e es igual a 2,71828182845904, la base del logaritmo natural. EXPONENTE es el inverso de LN, el logaritmo natural de un número.

Argumento
Descripción
métrica
El exponente aplicado a la base e.

Caso de uso: eleve un número o una métrica a una potencia especificada, como, por ejemplo, al cuadrado de un valor o la aplicación de un factor de crecimiento exponencial. Esto resulta útil para modelar las tendencias de crecimiento o escalar una métrica exponencialmente.

En el Creador de métricas calculadas: use Exponente con una métrica y un valor de energía. Por ejemplo: Exponente(Visitas, 2) cuadra la métrica Visitas.

TIP
Combínelo con Logarithm para obtener modelos avanzados o para suavizar datos muy variables al comparar patrones de crecimiento.

Media mean

Efecto MEDIA(métrica, include_zeros)

[Tabla]{class="badge neutral"} Devuelve la media aritmética, o el promedio, de una métrica en una columna.

Argumento
Descripción
métrica
La métrica para la cual desea calcular la media.
include_zeros
Indica si se deben incluir o no valores cero en los cálculos.

Caso de uso: calcule el promedio aritmético de un conjunto de valores, como el promedio de ingresos diarios o el número promedio de visitas por campaña. Esto ayuda a establecer una línea de base para comparar valores individuales dentro de un conjunto de datos.

En el Creador de métricas calculadas: aplique Media a una métrica como Ingresos o Visitas para devolver el valor promedio en todos los puntos de datos del desglose o intervalo de fechas seleccionado.

TIP
Úselo para comprender las tendencias generales de rendimiento o combínelo con Desviación estándar para medir la consistencia en torno al promedio.

Mediana median

Efecto MEDIANA(métrica, include_zeros)

[Tabla]{class="badge neutral"}Devuelve la mediana de una métrica en una columna. La mediana es el número situado en medio de un conjunto de números. Es decir, la mitad de los números tienen valores mayores o iguales a la mediana y la mitad son menores o iguales a la mediana.

Argumento
Descripción
métrica
La métrica para la cual desea calcular la mediana.
include_zeros
Indica si se deben incluir o no valores cero en los cálculos.

Caso de uso: identifique el valor medio de un conjunto de datos, como la mediana de ingresos diarios o la mediana de vistas de página por visita. Esto resulta útil cuando desea reducir el impacto de los periféricos y ver la tendencia central de los datos.

En el Creador de métricas calculadas: aplique la mediana a una métrica como Ingresos o Vistas de página para devolver el valor de punto medio en todos los puntos de datos del desglose o intervalo de fechas seleccionado.

TIP
Use en lugar de Media cuando sus datos contengan máximos o mínimos extremos que puedan distorsionar el promedio.

Módulo modulo

Efecto MÓDULO(metric_X, metric_Y)

Devuelve el resto tras dividir x por y utilizando la división euclídea.

Argumento
Descripción
metric_X
La primera métrica que le gustaría dividir.
metric_Y
La segunda métrica que le gustaría dividir.

Caso de uso: devuelva el resto después de dividir un número por otro. Esto puede resultar útil para patrones cíclicos o repetidos, como identificar cada enésimo día o campaña en una secuencia.

En el Creador de métricas calculadas: use Módulo con dos entradas numéricas. Por ejemplo: Módulo(Número de día, 7) devuelve el resto después de dividir el número de día por siete, lo que puede ayudar a agrupar los datos por semana.

TIP
Combínelos con la lógica condicional para resaltar intervalos recurrentes o para segmentar datos en función de ciclos repetidos.

Más ejemplos

El valor devuelto tiene el mismo signo que la entrada (o es cero).

MODULO(4,3) = 1
MODULO(-4,3) = -1
MODULO(-3,3) = 0

Para obtener siempre un número positivo, utilice

MODULO(MODULO(x,y)+y,y)

Percentil percentile

Efecto PERCENTIL(métrica, k, include_zeros)

[Tabla]{class="badge neutral"}Devuelve el percentil número n, que es un valor entre 0 y 100. Cuando n < 0, la función utiliza cero. Cuando n > 100, la función devuelve 100.

Argumento
Descripción
métrica
El valor en porcentaje dentro del rango de 0 a 100, ambos incluidos.
k
La columna de métrica que define la posición relativa.
include_zeros
Indica si se deben incluir o no valores cero en los cálculos.

Caso de uso: identifique el valor por debajo del cual cae un porcentaje determinado de puntos de datos, como el percentil 90 de ingresos diarios o vistas de página. Esto ayuda a medir la distribución y detectar periféricos de alto rendimiento.

En el Creador de métricas calculadas: aplique el Percentil a una métrica como Ingresos o Visitas, y especifique el valor de percentil deseado (por ejemplo, Percentil(Ingresos, 90)). El resultado muestra el umbral en el que el 90 % de los puntos de datos se encuentran por debajo.

TIP
Se utiliza para establecer puntos de referencia de rendimiento o para filtrar por los días, las campañas o los productos de mejor rendimiento.

Operador de potencia power-operator

Efecto OPERADOR DE ENERGÍA(metric_X, metrix_Y)

Devuelve x elevado a la potencia y.

Argumento
Descripción
metric_X
La métrica que desea elevar a la potencia metric_Y.
metric_Y
La potencia a la que le gustaría aumentar metric_X.

Caso de uso: eleve un número o métrica a la potencia de otro, por ejemplo, al cuadrado de un valor o al aplicar un peso exponencial. Esto resulta útil para modelar el crecimiento, escalar valores o realizar transformaciones matemáticas avanzadas.

En el Creador de métricas calculadas: use Operador avanzado entre dos valores numéricos o métricas. Por ejemplo: Ingresos ^ 2 eleva el valor de Ingresos a la segunda potencia.

TIP
Similar a la función Exponente pero expresada como operador matemático, lo que permite fórmulas más compactas dentro de las métricas calculadas.

Cuartil quartile

Efecto CUARTIL(métrica, cuartil, include_zeros)

[Tabla]{class="badge neutral"}Devuelve el cuartil de los valores de una métrica. Por ejemplo, los cuartiles se pueden utilizar para encontrar el primer 25 % de los productos que generan los mayores ingresos. COLUMNA MÍNIMA, MEDIANA y COLUMNA MÁXIMA devuelven el mismo valor que CUARTIL cuando el cuartil es igual a 0 (cero), 2 y 4, respectivamente.

Argumento
Descripción
métrica
La métrica para la cual desea el valor de cuartil.
cuartil
Indica qué valor de cuartil se devolverá.
include_zeros
Indica si se deben incluir o no valores cero en los cálculos.

Caso de uso: divida un conjunto de datos en cuatro partes iguales para comprender cómo se distribuyen los valores, como identificar el 25 % superior de días por ingresos o visitas. Esto ayuda a segmentar el rendimiento en grupos clasificados para realizar una comparación más detallada.

En el Creador de métricas calculadas: aplique Quartile a una métrica como Ingresos o Visitas, y especifique el cuartil que se va a devolver (por ejemplo, Cuartil(Ingresos, 3) para encontrar el umbral del tercer cuartil o el 25 % superior).

TIP
Se utiliza para agrupar valores en niveles de rendimiento como campañas o productos de bajo, medio y alto rendimiento.

Redondeo round

Efecto REDONDEO(métrica, número)

Redondear sin un parámetro de número es lo mismo que redondear con un parámetro de número de 0, es decir, redondear al número entero más próximo. Con un parámetro de número, REDONDEAR devuelve los dígitos de número a la derecha del decimal. Si número es negativo, devuelve ceros a la izquierda del decimal.

Argumento
Descripción
métrica
La métrica que desee redondear.
número
Cuántos dígitos a la derecha del decimal se devolverán. (Si es negativo devuelve ceros a la izquierda del decimal).

Caso de uso: Simplifique los resultados numéricos redondeándolos a un número determinado de decimales. Esto resulta útil para crear visualizaciones más limpias o para facilitar la lectura de las métricas calculadas en los informes.

En el Creador de métricas calculadas: aplique Redondeo a una métrica o expresión y especifique el número de decimales. Por ejemplo: Redondeo(Tasa de conversión, 2) redondea el valor a dos decimales.

TIP
Se utiliza para estandarizar el formato de las métricas en los informes, especialmente cuando se muestran porcentajes o valores de moneda.

Más ejemplos

ROUND( 314.15, 0) = 314
ROUND( 314.15, 1) = 314.1
ROUND( 314.15, -1) = 310
ROUND( 314.15, -2) = 300

Recuento de filas row-count

Efecto RECUENTO DE FILAS()

Devuelve el recuento de filas de una columna en concreto (el número de elementos únicos registrados en una dimensión). Se han superado los límites se cuenta como 1.

Caso de uso: Cuenta el número total de filas devueltas en un desglose o conjunto de datos, como el número de días, campañas o productos incluidos en un informe. Esto ayuda a comprender cuántos elementos contribuyen al análisis.

En el Creador de métricas calculadas: Aplique Recuento de filas para devolver el número total de filas en el desglose o segmento actual. Por ejemplo, al ver Ingresos por Producto, Recuento de filas devuelve el número de productos mostrados.

TIP
Se usa con otras funciones como Suma de columna para calcular promedios manualmente (por ejemplo, Suma de columna(Ingresos) / Recuento de fila()).

Máximo de fila row-max

Efecto MAX DE FILA(métrica, include_zeros)

Número máximo de las columnas de cada fila.

Argumento
Descripción
métrica
Requiere al menos una métrica, pero puede tomar cualquier número de métricas como parámetros.
include_zeros
Indica si se deben incluir o no valores cero en los cálculos.

Caso de uso: identifique el valor más alto de todas las métricas de una sola fila; por ejemplo, determine qué métrica (por ejemplo, Ingresos, Pedidos o Visitas) tiene el valor más alto para un día o segmento específico. Esto ayuda a resaltar qué posibles clientes de métrica dentro de cada fila de datos.

En el Creador de métricas calculadas: aplique Máximo de fila cuando se incluyan varias métricas en una métrica calculada. Por ejemplo: Máximo de fila(Ingresos, Pedidos, Visitas) devuelve el valor más alto entre esas métricas para cada fila.

TIP
Utilice para comparar métricas relacionadas una al lado de la otra e identificar cuál contribuye más al rendimiento dentro de cada fila.

Mínimo de fila row-min

Efecto FILA MÍN(métrica, include_zeros)

Número mínimo de las columnas de cada fila.

Argumento
Descripción
métrica
Requiere al menos una métrica, pero puede tomar cualquier número de métricas como parámetros.
include_zeros
Indica si se deben incluir o no valores cero en los cálculos.

Caso de uso: identifique el valor más bajo de todas las métricas de una sola fila, como por ejemplo qué métrica (por ejemplo, Ingresos, Pedidos o Visitas) tiene el valor más pequeño para un día o segmento en particular. Esto ayuda a identificar la métrica de menor rendimiento dentro de cada fila de datos.

En el Creador de métricas calculadas: aplique Mínimo de fila al comparar varias métricas. Por ejemplo: Mínimo de fila(Ingresos, Pedidos, Visitas) devuelve el valor más pequeño entre esas métricas para cada fila.

TIP
Combinar con Máximo de fila para calcular intervalos de rendimiento o resaltar métricas de bajo rendimiento en una comparación en paralelo.

Suma de fila row-sum

Efecto SUMA DE FILA(métrica, include_zeros)

Suma de las columnas de cada fila.

Argumento
Descripción
métrica
Requiere al menos una métrica, pero puede tomar cualquier número de métricas como parámetros.

Caso de uso: suma los valores de varias métricas en una sola fila, como sumar Ingresos e Impuestos para calcular el valor total de la transacción o combinar Visitas de diferentes fuentes. Esto ayuda a consolidar las métricas relacionadas en un total.

En el Creador de métricas calculadas: aplique Suma de fila para combinar varias métricas. Por ejemplo: Suma de fila(Ingresos, Impuestos) agrega esas dos métricas a cada fila del desglose.

TIP
Se utiliza para crear totales combinados o para agrupar indicadores de rendimiento relacionados en una sola métrica calculada.

Raíz cuadrada square-root

Efecto RAÍZ CUADRADA(métrica, include_zeros)

[Fila]{class="badge neutral"} Devuelve la raíz cuadrada positiva de un número. La raíz cuadrada de un número es el valor de ese número elevado a la potencia de 1/2.

Argumento
Descripción
métrica
La métrica para la cual desea la raíz cuadrada.

Caso de uso: devuelve la raíz cuadrada de un número o métrica, como la búsqueda de la raíz de la varianza al calcular la desviación estándar o al normalizar valores en un conjunto de datos. Esto resulta útil para realizar cálculos estadísticos o de transformación de datos avanzados.

En el Creador de métricas calculadas: aplique Raíz cuadrada a una métrica o expresión. Por ejemplo: Raíz cuadrada(Varianza(Ingresos)) devuelve la desviación estándar de Ingresos.

TIP
Utilícelo cuando necesite escalar las métricas proporcionalmente o para admitir otras funciones estadísticas que dependan de los valores raíz.

Desviación estándar standard-deviation

Efecto DESVIACIÓN ESTÁNDAR(métrica, include_zeros)

[Tabla]{class="badge neutral"} Devuelve la desviación estándar, o la raíz cuadrada de la varianza, basada en una muestra de datos de una población.

Argumento
Descripción
La métrica para la cual desea la desviación estándar.
include_zeros
Indica si se deben incluir o no valores cero en los cálculos.

Caso de uso: mida cuántos valores varían del promedio, por ejemplo, evaluando la consistencia de los ingresos diarios o las visitas con el paso del tiempo. Esto ayuda a identificar volatilidad, estabilidad o fluctuaciones inusuales en el rendimiento.

En el Creador de métricas calculadas: aplique Desviación estándar a una métrica como Ingresos o Visitas para calcular la propagación de valores dentro del desglose o intervalo de fechas seleccionado. Por ejemplo: Desviación estándar(Ingresos) muestra cuánto se desvían los ingresos diarios de la media.

TIP
Úselo con Media para detectar anomalías o comparar la coherencia del rendimiento en campañas, productos o segmentos.

Varianza variance

Efecto VARIANZA(métrica, include_zeros)

[Tabla]{class="badge neutral"} Devuelve la varianza basada en una muestra de datos de una población.

Argumento
Descripción
métrica
La métrica para la cual desea la varianza.
include_zeros
Indica si se deben incluir o no valores cero en los cálculos.

Caso de uso: mida hasta qué punto los valores de un conjunto de datos se extienden más allá de la media, como por ejemplo el análisis de cuánto varían los ingresos diarios o la duración de la sesión con el paso del tiempo. Esto ayuda a cuantificar el grado de coherencia o fluctuación del rendimiento.

En el Creador de métricas calculadas: aplique Varianza a una métrica como Ingresos o Tiempo empleado por visita para calcular la desviación cuadrada promedio de la media. Por ejemplo: Varianza(Ingresos) muestra cuánto difieren los valores de ingresos del promedio en el rango seleccionado.

TIP
Úselo con Desviación estándar para comprender mejor la variabilidad de los datos e identificar áreas de rendimiento impredecible.

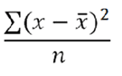
La ecuación de VARIANZA es:

{width="100"}

Donde x es la media de la muestra, MEDIA(métrica), y n es el tamaño de la muestra.

Para calcular una varianza, se considera una columna entera de números. A partir de una lista de números, calcule primero el promedio. Cuando tenga el promedio, examine cada entrada y realice lo siguiente:

  1. Reste el promedio del número.

  2. Multiplique el resultado por sí mismo.

  3. Súmelo al total.

Cuando repita la operación sobre toda la columna, obtendrá un total único. A continuación, divida ese total por el número de elementos de la columna. Ese número es la variación de la columna. Es un solo número. Sin embargo, se muestra como una columna de números.

En el ejemplo de la siguiente columna de tres elementos:

columna
1
2
3

El promedio de esta columna es 2. La varianza de la columna es ((1 - 2)2 + (2 - 2)2 + (3 - 2)2/3) = 2/3.

recommendation-more-help
46b8682c-fda6-4669-9355-1a44923e549e