Basisfuncties

De ​ Berekende metrieke bouwer ​ laat u statistische en wiskundige functies toepassen. Dit artikel documenteert alfabetische lijst van de functies en hun definities.

NOTE
Waar metric wordt geïdentificeerd als een argument in een functie, zijn andere expressies van metriek ook toegestaan. Bijvoorbeeld, ​ MAXIMUM VAN DE KOLOM (metriek) ​ staat ook voor ​ MAXIMUM VAN DE KOLOM (PageViews + Visits) ​ toe.

Tabelfuncties versus rijfuncties

Een tabelfunctie is een functie waarbij de uitvoer voor elke rij van de tabel hetzelfde is. Een rijfunctie is een functie waarbij de uitvoer voor elke rij van de tabel anders is.

Waar toepasselijk en relevant, is een functie geannoteerd met het type van functie: [​ Lijst ​]{class="badge neutral"} of [​ Rij ​]{class="badge neutral"}

Wat betekent de parameter include-zeros?

Het vertelt of nullen in de berekening moeten worden opgenomen. Soms betekent nul niets, maar soms is het belangrijk.

Bijvoorbeeld, als u metrisch van de Opbrengst hebt, en dan metrische vertoningen van de Pagina aan het rapport toevoegt, zijn er plotseling meer rijen voor uw opbrengst, die allen nul zijn. U wilt waarschijnlijk niet dat extra metrisch om het even welke MEAN, MINIMUM VAN DE RIJ, KWALITEIT, en meer berekeningen te beïnvloeden die u in de opbrengstkolom hebt. In dit geval controleert u de parameter include-zeros .

Een alternatief scenario is dat u twee metriek van rente hebt en één een hoger gemiddelde of een minimum heeft omdat sommige rijen nul zijn. In dat geval kunt u ervoor kiezen om de parameter niet te controleren en nullen op te nemen

Absolute waarde absolute-value

Effect ABSOLUTE VALUE(metric)

[​ Rij ​]{class="badge neutral"} keert de absolute waarde van een aantal terug. De absolute waarde van een getal is het getal met een positieve waarde.

Argument
Beschrijving
metrisch
De metrische waarde waarvoor u de absolute waarde wilt berekenen.

Maximum kolom column-maximum

Effect COLUMN MAXIMUM(metric, include_zeros)

Retourneert de grootste waarde in een set dimensieelementen voor een metrische kolom. MAXV evalueert verticaal binnen één enkele (metrische) kolom over afmetingselementen.

Argument
Beschrijving
metrisch
Vereist minstens één metrisch maar kan om het even welk aantal metriek als parameters nemen.
include_zeros
Of nul-waarden in de berekeningen moeten worden opgenomen.

Minimaal kolom column-minimum

Effect COLUMN MINIMUM(metric, include_zeros)

Retourneert de laagste waarde in een set dimensieelementen voor een metrische kolom. MINV evalueert verticaal binnen één enkele kolom (metrisch) over afmetingselementen.

Argument
Beschrijving
metrisch
Vereist minstens één metrisch maar kan om het even welk aantal metriek als parameters nemen.
include_zeros
Of nul-waarden in de berekeningen moeten worden opgenomen.

Aantal kolommen column-sum

Effect COLUMN SUM(metric)

Voegt alle numerieke waarden voor metrisch binnen een kolom (over de elementen van een afmeting) toe.

Argument
Beschrijving
metrisch
Vereist minstens één metrisch maar kan om het even welk aantal metriek als parameters nemen.

Aantal count

Effect COUNT(metric)

[​ Lijst ​]{class="badge neutral"} keert het aantal, of de telling, van niet-nul waarden voor metrisch binnen een kolom (het aantal unieke die elementen terug binnen een dimensie worden gemeld).

Argument
Beschrijving
metrisch
De metrische waarde die u wilt tellen.

Exponent exponent

Effect EXPONENT(metric)

[​ Keert de Rij ​]{class="badge neutral"} terug wordt opgeheven aan de macht van een bepaald aantal. De constante e is gelijk aan 2,71828182845904, de basis van de natuurlijke logaritme. EXPONENT is het omgekeerde van LN, de natuurlijke logaritme van een getal.

Argument
Beschrijving
metrisch
De exponent die op de basis e wordt toegepast.

Gemiddeld mean

Effect MEAN(metric, include_zeros)

[​ Lijst ​]{class="badge neutral"} keert het rekenkundig gemiddelde, of het gemiddelde, voor metrisch in een kolom terug.

Argument
Beschrijving
metrisch
De metrische waarde waarvoor u het gemiddelde wilt berekenen.
include_zeros
Of nul-waarden in de berekeningen moeten worden opgenomen.

Mediaan median

Effect MEDIAN(metric, include_zeros)

[​ Lijst ​]{class="badge neutral"} keert mediaan voor metrisch in een kolom terug. De mediaan is het getal in het midden van een reeks getallen. De helft van de getallen heeft waarden die groter zijn dan of gelijk zijn aan de mediaan, en de helft is kleiner dan of gelijk aan de mediaan.

Argument
Beschrijving
metrisch
De metrische waarde waarvoor u de mediaan wilt berekenen.
include_zeros
Of nul-waarden in de berekeningen moeten worden opgenomen.

Modulo modulo

Effect MODULO(metric_X, metric_Y)

Retourneert de rest na het delen van x door y met behulp van Euclidean-divisie.

Argument
Beschrijving
metrisch_X
De eerste metrische waarde die u wilt delen.
metrisch_Y
De tweede metrische waarde die u wilt verdelen.

Voorbeelden

De geretourneerde waarde heeft hetzelfde teken als de invoer (of is nul).

MODULO(4,3) = 1
MODULO(-4,3) = -1
MODULO(-3,3) = 0

Om ervoor te zorgen dat u altijd een positief getal krijgt, gebruikt u

MODULO(MODULO(x,y)+y,y)

Percentage percentile

Effect PERCENTILE(metric, k, include_zeros)

[​ Lijst ​]{class="badge neutral"} keert het nde percentiel terug, dat een waarde tussen 0 en 100 is. Wanneer n < 0, gebruikt de functie nul. Wanneer n > 100, keert de functie 100 terug.

Argument
Beschrijving
metrisch
De percentielwaarde in het bereik 0 tot en met 100.
k
De metrische kolom die relatieve status definieert.
include_zeros
Of nul-waarden in de berekeningen moeten worden opgenomen.

Power Operator power-operator

Effect POWER OPERATOR(metric_X, metrix_Y)

Retourneert x opgevoerd naar de y-macht.

Argument
Beschrijving
metrisch_X
Metrisch die u aan de macht wilt verhogen measured_Y.
metrisch_Y
De macht u zou willen verhogen metrisch_X aan.

Kwart quartile

Effect QUARTILE(metric, quartile, include_zeros)

[​ Lijst ​]{class="badge neutral"} keert de kwartiel van waarden voor metrisch terug. Bijvoorbeeld, kunnen de kwartielen worden gebruikt om de hoogste 25% van producten te vinden die de meeste opbrengst drijven. ​ MINIMUM VAN DE KOLOM ​, ​ GEMIDDELD ​, en ​ MAXIMUM VAN DE KOLOM ​ keren de zelfde waarde terug zoals ​ KWALITEIT ​ wanneer kwartiel aan 0 (nul) gelijk is, 2, en 4, respectievelijk.

Argument
Beschrijving
metrisch
De metrische waarde waarvoor u de kwartielwaarde wilt berekenen.
kwartiel
Geeft aan welke kwartielwaarde moet worden geretourneerd.
include_zeros
Of nul-waarden in de berekeningen moeten worden opgenomen.

Rond round

Effect ROUND(metric, number)

Rond zonder a aantal parameter is het zelfde als rond met a aantal parameter van 0, namelijk rond aan het dichtstbijzijnde geheel. Met a aantal parameter, ROUND keert de aantal cijfers rechts van decimaal terug. Als aantal negatief is, keert het 0's links van decimaal terug.

Argument
Beschrijving
metrisch
De metrische waarde die u wilt afronden.
getal
Hoeveel cijfers rechts van decimaal om terug te keren. (Als negatief nul links van decimaal terugkeert).

Voorbeelden

ROUND( 314.15, 0) = 314
ROUND( 314.15, 1) = 314.1
ROUND( 314.15, -1) = 310
ROUND( 314.15, -2) = 300

Aantal rijen row-count

Effect ROW COUNT()

Geeft als resultaat het aantal rijen voor een bepaalde kolom (het aantal unieke elementen dat binnen een dimensie wordt gerapporteerd). meer uniques wordt geteld als 1.

Max. rij row-max

Effect ROW MAX(metric, include_zeros)

Maximaal aantal kolommen per rij.

Argument
Beschrijving
metrisch
Vereist minstens één metrisch maar kan om het even welk aantal metriek als parameters nemen.
include_zeros
Of nul-waarden in de berekeningen moeten worden opgenomen.

Min. rij row-min

Effect ROW MIN(metric, include_zeros)

Minimaal van de kolommen van elke rij.

Argument
Beschrijving
metrisch
Vereist minstens één metrisch maar kan om het even welk aantal metriek als parameters nemen.
include_zeros
Of nul-waarden in de berekeningen moeten worden opgenomen.

Rijsom row-sum

Effect ROW SUM(metric, include_zeros)

Som van de kolommen van elke rij.

Argument
Beschrijving
metrisch
Vereist minstens één metrisch maar kan om het even welk aantal metriek als parameters nemen.

Vierkante hoofdmap square-root

Effect SQUARE ROOT(metric, include_zeros)

[​ Rij ​]{class="badge neutral"} keert de positieve vierkantswortel van een aantal terug. De vierkantswortel van een getal is de waarde van dat getal dat tot de macht 1/2 wordt verheven.

Argument
Beschrijving
metrisch
De metrische waarde waarvoor u de vierkantswortel wilt berekenen.

Standaardafwijking standard-deviation

Effect STANDARD DEVIATION(metric, include_zeros)

[​ Lijst ​]{class="badge neutral"} keert de standaardafwijking, of de vierkantswortel van de variantie terug, die op een steekproefpopulatie van gegevens wordt gebaseerd.

Argument
Beschrijving
De metrische waarde waarvoor u de standaardafwijking wilt berekenen.
include_zeros
Of nul-waarden in de berekeningen moeten worden opgenomen.

Variantie variance

Effect VARIANCE(metric, include_zeros)

[​ Lijst ​]{class="badge neutral"} keert de variantie terug die op een steekproefpopulatie van gegevens wordt gebaseerd.

Argument
Beschrijving
metrisch
De metrische waarde waarvoor u de variantie wilt berekenen.
include_zeros
Of nul-waarden in de berekeningen moeten worden opgenomen.

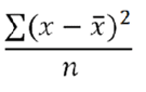
De vergelijking voor VARIANCE is:

{width="100"}

Waar x het steekproefmiddel is, ​ MEAN (metrisch) ​, en n is de steekproefgrootte.

Als u een variantie wilt berekenen, bekijkt u een hele kolom met getallen. Van die lijst van aantallen berekent u eerst het gemiddelde. Zodra u het gemiddelde hebt, gaat u door elke ingang en doet het volgende:

  1. Trek het gemiddelde van het getal af.

  2. Maak het resultaat vierkant.

  3. Voeg dat toe aan het totaal.

Nadat u de hele kolom hebt doorlopen, hebt u één totaal. Vervolgens deelt u dat totaal door het aantal items in de kolom. Dat getal is de variantie voor de kolom. Het is een enkel getal. Deze wordt echter weergegeven als een kolom met getallen.

In het voorbeeld van de volgende kolom met drie items:

kolom
1
2
3

Het gemiddelde van deze kolom is 2. De variantie voor de kolom is ((1 - 2) 2 + (2 - 2) + (3 - 2) 2 /3) = 2/3.

recommendation-more-help
080e5213-7aa2-40d6-9dba-18945e892f79