Grundlegende Funktionen

Mit dem Generator für berechnete Metriken können Sie statistische und mathematische Funktionen anwenden. Dieser Artikel dokumentiert eine alphabetische Liste der Funktionen und ihrer Definitionen.

NOTE
Wenn metric als Argument in einer Funktion angegeben ist, sind auch andere Ausdrücke von Metriken zulässig. Beispiel: COLUMN MAXIMUM(metrics) ermöglicht auch COLUMN MAXIMUM(PageViews + Visits).

Vergleich zwischen Tabellenfunktionen und Zeilenfunktionen

Eine Tabellenfunktion ist eine Funktion, bei der die Ausgabe für jede Zeile der Tabelle gleich ist. Eine Zeilenfunktion ist eine Funktion, bei der die Ausgabe für jede Zeile der Tabelle unterschiedlich ist.

Gegebenenfalls wird einer Funktion eine Anmerkung mit dem Typ der Funktion hinzugefügt: [Tabelle]{class="badge neutral"} oder [Zeile]{class="badge neutral"}.

Was bedeutet der Parameter „include-zeros“?

Damit wird angegeben, ob Nullen in die Berechnung einbezogen werden sollen. In manchen Fällen bedeutet eine Null nichts, in anderen Fällen kann sie aber auch wichtig sein.

Beispiel: Wenn Sie mit einer Umsatzmetrik arbeiten und dem Bericht dann eine Seitenansichtsmetrik hinzufügen, gibt es plötzlich mehr Zeilen für den Umsatz, die alle Nullwerte enthalten. Sie möchten wahrscheinlich nicht, dass sich diese zusätzliche Metrik auf Berechnungen wie ARITHMETISCHES MITTEL, ZEILENMINIMUM, QUARTIL usw. auswirkt, die sich in der Umsatzspalte befinden. In diesem Fall müssen Sie den Parameter include-zeros aktivieren.

Ein alternatives Szenario besteht darin, dass Sie zwei Metriken von Interesse haben und eine Metrik einen höheren Durchschnitt oder ein höheres Minimum aufweist, da einige der Zeilen Nullen sind.  In diesem Fall können Sie festlegen, dass der Parameter nicht auf Nullen überprüft werden soll.

Absolutwert absolute-value

Effekt ABSOLUTE VALUE(metric)

[Zeile]{class="badge neutral"} Gibt den absoluten Wert einer Zahl zurück. Der absolute Wert einer Zahl ist die Zahl mit einem positiven Wert.

Argument
Beschreibung
metric
Die Metrik, für die der absolute Wert berechnet werden soll.

Anwendungsfall Stellen Sie sicher, dass alle Ergebnisse positiv sind, wenn Sie Metriken analysieren, die möglicherweise negative Werte ergeben, z. B. Umsatzdeltas oder prozentuale Änderungen. Dies hilft, sich auf das Ausmaß der Veränderung ohne Rücksicht auf die Richtung zu konzentrieren.

Im Generator für berechnete Metriken: Schließen Sie Ihre Metrik oder Ihren Ausdruck in die Funktion Absoluter Wert ein, z. B.: Absoluter Wert(Aktueller Umsatz - Vorheriger Umsatz). Dadurch werden alle negativen Differenzen in positive Werte umgewandelt.

TIP
Verwenden Sie diese Option, um absolute Unterschiede zwischen zwei Zeiträumen oder Segmenten zu messen, unabhängig davon, ob die Leistung gestiegen oder gesunken ist.

Spaltenmaximum column-maximum

Effekt COLUMN MAXIMUM(metric, include_zeros)

Gibt den größten Wert in einem Satz aus Dimensionselementen für eine Metrikspalte zurück. MAXV wird vertikal innerhalb einer einzelnen Spalte (Metrik) über Dimensionselemente hinweg ausgewertet.

Argument
Beschreibung
metric
Erfordert mindestens eine Metrik, kann jedoch eine beliebige Anzahl von Metriken als Parameter verwenden.
include_zeros
Gibt an, ob Nullwerte in die Berechnungen einbezogen werden sollen oder nicht.

Anwendungsfall: Identifizieren Sie den höchsten Wert innerhalb einer Aufschlüsselung, z. B. den Tag mit den meisten Besuchen oder das Produkt mit dem höchsten Umsatz. Auf diese Weise wird die Spitzenleistung kategorieübergreifend hervorgehoben.

Im Generator für berechnete Metriken: Wenden Sie Spaltenmaximum auf eine Metrik wie Umsatz oder Besuche an, wenn Sie nach Tag oder Produkt aufschlüsseln. Die Funktion gibt für jede Zeile den größten Wert in dieser Spalte zurück.

TIP
Verwenden Sie eine IF-Anweisung wie IF(Revenue = Column Maximum*(Revenue*), 1, 0), um das Element in Ihrer Aufschlüsselung hervorzuheben, das die beste Leistung erzielt.

Spaltenminimum column-minimum

Effekt COLUMN MINIMUM(metric, include_zeros)

Gibt den kleinsten Wert in einem Satz aus Dimensionselementen für eine Metrikspalte zurück. MINV wird vertikal innerhalb einer einzelnen Spalte (Metrik) über Dimensionselemente hinweg ausgewertet.

Argument
Beschreibung
metric
Erfordert mindestens eine Metrik, kann jedoch eine beliebige Anzahl von Metriken als Parameter verwenden.
include_zeros
Gibt an, ob Nullwerte in die Berechnungen einbezogen werden sollen oder nicht.

Anwendungsfall: Identifizieren Sie den Wert mit der niedrigsten Leistung innerhalb einer Aufschlüsselung, z. B. die Kampagne mit den geringsten Konversionen oder den Tag mit dem geringsten Umsatz. Dies hilft beim schnellen Aufdecken von leistungsschwachen Segmenten.

Im Generator für berechnete Metriken: Wenden Sie Spaltenminimum auf eine Metrik wie Umsatz oder Konversionsrate an, wenn Sie nach Kampagne oder Tag aufschlüsseln. Die Funktion gibt für jede Zeile den kleinsten Wert in dieser Spalte zurück.

TIP
Verwenden Sie eine IF-Anweisung wie IF(Revenue = Column Minimum*(Revenue*), 1, 0), um das Element in Ihrer Aufschlüsselung mit der niedrigsten Leistung hervorzuheben.

Spaltensumme column-sum

Effekt COLUMN SUM(metric)

Addiert alle numerischen Werte für eine Metrik innerhalb einer Spalte (über die Elemente einer Dimension hinweg).

Argument
Beschreibung
metric
Erfordert mindestens eine Metrik, kann jedoch eine beliebige Anzahl von Metriken als Parameter verwenden.

Anwendungsfall: Berechnung der Summe aller Werte in einer Aufschlüsselung, z. B. Gesamtumsatz über alle Produkte oder Gesamtbesuche über alle Tage hinweg. Dies ist hilfreich, wenn Sie eine Gesamtsumme benötigen, um sie mit den einzelnen Zeilenwerten zu vergleichen.

Im Generator für berechnete Metriken: Wenden Sie Spaltensumme auf eine Metrik wie Umsatz oder Besuche an, während Sie nach Produkt oder Tag aufgeschlüsselt werden. Die Funktion gibt die Summe aller Werte in dieser Spalte für jede Zeile zurück.

TIP
Verwenden Sie diese Option, wenn Sie einen Verweis auf die Gesamtsumme benötigen, um Anteile oder Prozentsätze der Gesamtleistung zu berechnen.

Anzahl count

Effekt COUNT(metric)

[Tabelle]{class="badge neutral"} Gibt die Anzahl der Werte für eine Metrik innerhalb einer Spalte zurück, die ungleich null sind (die Anzahl erfasster eindeutiger Elemente innerhalb einer Dimension).

Argument
Beschreibung
metric
Die Metrik, die gezählt werden soll.

Anwendungsfall: Zählen der Anzahl der in einer Berechnung enthaltenen Datenpunkte, z. B. die Anzahl der Tage in einem Datumsbereich oder die Anzahl der Produkte in einer Aufschlüsselung. Dies ist hilfreich, wenn Sie wissen müssen, wie viele Elemente zu einem aggregierten Wert beitragen.

Im Generator für berechnete Metriken: Wenden Sie count auf eine Metrik wie Besuche oder Umsatz an, um die Gesamtzahl der Zeilen (oder Datenpunkte) zurückzugeben, die in der aktuellen Aufschlüsselung oder im Datumsbereich enthalten sind.

TIP
Verwenden Sie zusammen mit Spaltensumme um Durchschnittswerte manuell zu berechnen (z. B. Spaltensumme(Umsatz) / Anzahl(Umsatz)).

Exponent exponent

Effekt EXPONENT(metric)

[Zeile]{class="badge neutral"} Gibt e potenziert mit einer angegebenen Zahl zurück. Die Konstante e entspricht 2,71828182845904, der Basis des natürlichen Logarithmus. EXPONENT ist die Umkehrung von LN, dem natürlichen Logarithmus einer Zahl.

Argument
Beschreibung
metric
Die Exponentialfunktion mit Basis „e“.

Anwendungsfall: Erhöhen einer Zahl oder Metrik auf eine bestimmte Potenz, z. B. Quadrierung eines Werts oder Anwendung eines exponentiellen Wachstumsfaktors. Dies ist nützlich bei der Modellierung von Wachstumstrends oder der exponentiellen Skalierung einer Metrik.

Im Generator für berechnete Metriken: Verwenden Sie Exponent mit einer Metrik und einem Leistungswert. Beispiel: Exponent(Besuche, 2) quadriert die Metrik Besuche.

TIP
Kombinieren Sie mit Logarithmus für erweiterte Modellierung oder zur Glättung von hochvariablen Daten beim Vergleich von Wachstumsmustern.

Arithmetisches Mittel mean

Effekt MEAN(metric, include_zeros)

[Tabelle]{class="badge neutral"} Gibt das arithmetische Mittel (oder den Durchschnitt) für eine Metrik in einer Spalte zurück.

Argument
Beschreibung
metric
Die Metrik, für die der Durchschnitt berechnet werden soll.
include_zeros
Gibt an, ob Nullwerte in die Berechnungen einbezogen werden sollen oder nicht.

Anwendungsfall: Berechnet den arithmetischen Durchschnitt einer Reihe von Werten, wie z. B. den durchschnittlichen täglichen Umsatz oder die durchschnittliche Anzahl der Besuche pro Kampagne. Dies hilft bei der Festlegung einer Baseline für den Vergleich einzelner Werte in einem Datensatz.

Im Generator für berechnete Metriken: Wenden Sie Mittel auf eine Metrik wie Umsatz oder Besuche an, um den Durchschnittswert für alle Datenpunkte in der ausgewählten Aufschlüsselung oder im Datumsbereich zurückzugeben.

TIP
Verwenden Sie diese Option, um die allgemeinen Leistungstrends zu verstehen, oder kombinieren Sie sie mit Standardabweichung, um die Konsistenz um den Durchschnitt herum zu messen.

Median median

Effekt MEDIAN(metric, include_zeros)

[Tabelle]{class="badge neutral"} Gibt den Medianwert für eine Metrik in einer Spalte zurück. Der Median ist die Zahl in der Mitte einer Zahlenreihe. Das heißt, die Hälfte der Zahlen weist Werte auf, die größer oder gleich dem Median sind, und die Hälfte ist kleiner oder gleich dem Median.

Argument
Beschreibung
metric
Die Metrik, für die der Median berechnet werden soll.
include_zeros
Gibt an, ob Nullwerte in die Berechnungen einbezogen werden sollen oder nicht.

Anwendungsfall: Identifizieren Sie den Mittelwert in einem Datensatz, z. B. den Median des täglichen Umsatzes oder den Median der Seitenansichten pro Besuch. Dies ist hilfreich, wenn Sie die Auswirkungen von Ausreißern reduzieren und die zentrale Tendenz Ihrer Daten erkennen möchten.

Im Generator für berechnete Metriken: Wenden Sie den Median auf eine Metrik wie Umsatz oder Seitenansichten an, um den Mittelpunktwert für alle Datenpunkte in der ausgewählten Aufschlüsselung oder im Datumsbereich zurückzugeben.

TIP
Verwenden Sie anstelle von Mittel, wenn Ihre Daten extreme Höhen oder Tiefen enthalten, die den Durchschnitt verfälschen könnten.

Modulo modulo

Effekt MODULO(metric_X, metric_Y)

Gibt den Rest bei der euklidischen Division von x durch y zurück.

Argument
Beschreibung
metric_X
Die erste Metrik, die geteilt werden soll.
metric_Y
Die zweite Metrik, die geteilt werden soll.

Anwendungsfall: Gibt den Rest zurück, nachdem eine Zahl durch eine andere geteilt wurde. Dies kann für zyklische oder sich wiederholende Muster nützlich sein, z. B. die Identifizierung jedes n-ten Tages oder einer Kampagne in einer Sequenz.

Im Generator für berechnete Metriken: Verwenden Sie Modulo mit zwei numerischen Eingaben. Beispiel: Modulo(Tageszahl, 7) gibt den Rest zurück, nachdem die Tageszahl durch sieben geteilt wurde, was dazu beitragen kann, Daten nach Woche zu gruppieren.

TIP
Kombinieren Sie mit bedingter Logik, um wiederkehrende Intervalle zu markieren oder Daten basierend auf sich wiederholenden Zyklen zu segmentieren.

Weitere Beispiele

Der Rückgabewert hat dasselbe Vorzeichen wie die Eingabe (oder ist null).

MODULO(4,3) = 1
MODULO(-4,3) = -1
MODULO(-3,3) = 0

Um sicherzustellen, dass Sie immer eine positive Zahl zu erhalten, verwenden Sie

MODULO(MODULO(x,y)+y,y)

Perzentil percentile

Effekt PERCENTILE(metric, k, include_zeros)

[Tabelle]{class="badge neutral"} Gibt das n-te Perzentil zurück, das einen Wert zwischen 0 und 100 darstellt. Wenn n < 0 ist, verwendet die Funktion null. Wenn n > 100 ist, gibt die Funktion 100 zurück.

Argument
Beschreibung
metric
Der Perzentilwert im Bereich von 0 bis 100 (einschließlich).
k
Die Metrikspalte, die die relative Position definiert.
include_zeros
Gibt an, ob Nullwerte in die Berechnungen einbezogen werden sollen oder nicht.

Anwendungsfall: Identifizieren Sie den Wert, unter den ein bestimmter Prozentsatz von Datenpunkten fällt, z. B. das 90. Perzentil des täglichen Umsatzes oder die Seitenansichten. Dies hilft bei der Messung der Verteilung und der Erkennung von Ausreißern mit hoher Leistung.

Im Generator für berechnete Metriken: Wenden Sie Perzentil auf eine Metrik wie Umsatz oder Besuche an und geben Sie den gewünschten Perzentilwert an (z. B. Perzentil(Umsatz, 90)). Das Ergebnis zeigt den Schwellenwert an, unter den 90 % der Datenpunkte fallen.

TIP
Verwenden Sie , um Leistungsbenchmarks festzulegen oder nach leistungsstärksten Tagen, Kampagnen oder Produkten zu filtern.

Potenzierungsoperator power-operator

Effekt POWER OPERATOR(metric_X, metrix_Y)

Gibt die y-te Potenz von x zurück.

Argument
Beschreibung
metric_X
Die Metrik, die zur Potenz metric_Y erhoben werden soll.
metric_Y
Die Potenz, zu der metric_X erhoben werden soll.

Anwendungsfall: Erhöhen Sie eine Zahl oder Metrik auf die Stärke einer anderen, z. B. durch Quadrieren eines Werts oder Anwenden einer exponentiellen Gewichtung. Dies ist hilfreich bei der Modellierung von Wachstum, der Skalierung von Werten oder der Durchführung erweiterter mathematischer Transformationen.

Im Generator für berechnete: Verwenden Sie Power Operator zwischen zwei numerischen Werten oder Metriken. Beispiel: Umsatz ^ 2 hebt den Umsatz-Wert auf die zweite Potenz.

TIP
Ähnlich wie die Exponent-Funktion, jedoch ausgedrückt als mathematischer Operator, wodurch innerhalb berechneter Metriken kompaktere Formeln ermöglicht werden.

Quartil quartile

Effekt QUARTILE(metric, quartile, include_zeros)

[Tabelle]{class="badge neutral"} Gibt das Quartil der Werte für eine Metrik zurück. Anhand von Quartilen können Sie beispielsweise die oberen 25 % der Produkte finden, die den meisten Umsatz generieren. COLUMN MINIMUM, MEDIAN und COLUMN MAXIMUM geben jeweils denselben Wert zurück wie QUARTILE, wenn „Quartil“ 0 (null), 2 bzw. 4 entspricht.

Argument
Beschreibung
metric
Die Metrik, für die der Quartilwert berechnet werden soll.
Quartil
Gibt an, welcher Quartilwert zurückgegeben werden soll.
include_zeros
Gibt an, ob Nullwerte in die Berechnungen einbezogen werden sollen oder nicht.

Anwendungsfall: Teilen Sie einen Datensatz in vier gleiche Teile auf, um zu verstehen, wie Werte verteilt werden, z. B. die Identifizierung der obersten 25 % der Tage nach Umsatz oder Besuchen. Dies hilft, die Leistung in Ranggruppen zu unterteilen, um einen tieferen Vergleich zu ermöglichen.

Im Generator für berechnete Metriken: Wenden Sie Quartil auf eine Metrik wie Umsatz oder Besuche an und geben Sie an, welches Quartil zurückgegeben werden soll (z. B. Quartil(Umsatz, 3), um den Schwellenwert für das dritte Quartil oder die obersten 25 % zu finden).

TIP
Verwenden Sie , um Werte in Leistungsstufen wie Kampagnen oder Produkte mit niedriger, mittlerer und hoher Leistung zu gruppieren.

Runden round

Effekt ROUND(metric, number)

Das Runden ohne den Parameter number hat den gleichen Effekt wie das Runden mit dem Parameter number von 0, also die Rundung auf die nächste Ganzzahl. Mit einem Parameter number gibt ROUND die auf number Ziffern rechts vom Dezimalzeichen gerundete Zahl zurück. Wenn  number  negativ ist, werden entsprechend viele Nullen links neben dem Dezimalzeichen zurückgegeben.

Argument
Beschreibung
metric
Die Metrik, die gerundet werden soll.
number
Gibt an, wie viele Stellen rechts neben dem Dezimalzeichen zurückgegeben werden sollen. (Falls negativ, werden Nullen links neben dem Dezimalzeichen zurückgegeben.)

Anwendungsfall: Vereinfachen Sie numerische Ergebnisse, indem Sie sie auf eine bestimmte Anzahl von Dezimalstellen runden. Dies ist hilfreich, um klarere Visualisierungen zu erstellen oder die Lesbarkeit berechneter Metriken in Berichten zu vereinfachen.

Im Generator für berechnete: Wenden Sie Round auf eine Metrik oder einen Ausdruck an und geben Sie die Anzahl der Dezimalstellen an. Beispiel: round(Konversionsrate, 2) rundet den Wert auf zwei Dezimalstellen.

TIP
Wird verwendet, um die Formatierung von Metriken in Berichten zu standardisieren, insbesondere bei der Anzeige von Prozentsätzen oder Währungswerten.

Weitere Beispiele

ROUND( 314.15, 0) = 314
ROUND( 314.15, 1) = 314.1
ROUND( 314.15, -1) = 310
ROUND( 314.15, -2) = 300

Zeilenanzahl row-count

Effekt ROW COUNT()

Gibt die Anzahl der Zeilen in einer bestimmten Spalte zurück (die Anzahl der innerhalb einer Dimension berichteten eindeutigen Elemente). Individuelle Werte überschritten wird als 1 gezählt.

Anwendungsfall Zählen Sie die Gesamtzahl der in einer Aufschlüsselung oder einem Datensatz zurückgegebenen Zeilen, z. B. die Anzahl der Tage, Kampagnen oder Produkte, die in einem Bericht enthalten sind. Auf diese Weise lässt sich erkennen, wie viele Elemente zu Ihrer Analyse beitragen.

Im Generator für berechnete Metriken: Wenden Sie Zeilenanzahl an, um die Gesamtzahl der Zeilen in der aktuellen Aufschlüsselung oder im aktuellen Segment zurückzugeben. Wenn Sie beispielsweise „Umsatz ​ nach Produkt, ​ Zeilenanzahl** anzeigen, wird die Anzahl der angezeigten Produkte zurückgegeben.

TIP
Verwenden Sie mit anderen Funktionen wie Spaltensumme, um Durchschnittswerte manuell zu berechnen (z. B. Spaltensumme(Umsatz) / Zeilenanzahl())).

Zeilenmaximum row-max

Effekt ROW MAX(metric, include_zeros)

Das Maximum der Spalten in jeder Zeile.

Argument
Beschreibung
metric
Erfordert mindestens eine Metrik, kann jedoch eine beliebige Anzahl von Metriken als Parameter verwenden.
include_zeros
Gibt an, ob Nullwerte in die Berechnungen einbezogen werden sollen oder nicht.

Anwendungsfall: Identifizieren Sie den höchsten Wert für alle Metriken in einer einzigen Zeile, z. B. welche Metrik (z. B. Umsatz, Bestellungen oder Besuche) den größten Wert für einen bestimmten Tag oder ein bestimmtes Segment hat. Auf diese Weise kann hervorgehoben werden, welche Metrik in jeder Datenzeile zu Leads führt.

Im Generator für berechnete Metriken: Wenden Sie Zeilenmaximum an, wenn mehrere Metriken in einer berechneten Metrik enthalten sind. Beispiel: Row Maximum(Umsatz, Bestellungen, Besuche) gibt den größten Wert unter diesen Metriken für jede Zeile zurück.

TIP
Verwenden Sie , um verwandte Metriken nebeneinander zu vergleichen und zu ermitteln, welcher in jeder Zeile am meisten zur Leistung beiträgt.

Zeilenminimum row-min

Effekt ROW MIN(metric, include_zeros)

Das Minimum der Spalten in jeder Zeile.

Argument
Beschreibung
metric
Erfordert mindestens eine Metrik, kann jedoch eine beliebige Anzahl von Metriken als Parameter verwenden.
include_zeros
Gibt an, ob Nullwerte in die Berechnungen einbezogen werden sollen oder nicht.

Anwendungsfall: Identifizieren Sie den niedrigsten Wert für alle Metriken in einer einzigen Zeile, z. B. welche Metrik (z. B. Umsatz, Bestellungen oder Besuche) den kleinsten Wert für einen bestimmten Tag oder ein bestimmtes Segment hat. Auf diese Weise können Sie die Metrik mit der schwächsten Performance in jeder Datenzeile identifizieren.

Im Generator für berechnete Metriken: Wenden Sie Zeilenminimum“ an wenn Sie mehrere Metriken vergleichen. Beispiel: Zeile Minimum(Umsatz, Bestellungen, Besuche) gibt den kleinsten Wert unter diesen Metriken für jede Zeile zurück.

TIP
Kombinieren Sie mit dem Zeilenmaximum, um Leistungsbereiche zu berechnen oder unterdurchschnittliche Metriken in einem Vergleich nebeneinander hervorzuheben.

Zeilensumme row-sum

Effekt ROW SUM(metric, include_zeros)

Die Summe der Spalten in jeder Zeile.

Argument
Beschreibung
metric
Erfordert mindestens eine Metrik, kann jedoch eine beliebige Anzahl von Metriken als Parameter verwenden.

Anwendungsfall: Addieren Sie die Werte mehrerer Metriken in einer einzigen Zeile, z. B. Summe Umsatz und Steuer, um den Gesamttransaktionswert zu berechnen oder Besuche aus verschiedenen Quellen zu kombinieren. Dies hilft, verwandte Metriken in einer Summe zu konsolidieren.

Im Generator für berechnete Metriken: Wenden Sie Zeilensumme an, um mehrere Metriken zu kombinieren. Beispiel: Zeilensumme(Umsatz, Steuer) fügt diese beiden Metriken für jede Zeile in Ihrer Aufschlüsselung hinzu.

TIP
Verwenden Sie , um kombinierte Summen zu erstellen oder verwandte Leistungsindikatoren in einer einzigen berechneten Metrik zu gruppieren.

Quadratwurzel square-root

Effekt SQUARE ROOT(metric, include_zeros)

[Zeile]{class="badge neutral"} Gibt die positive Quadratwurzel einer Zahl zurück. Die Quadratwurzel einer Zahl ist der Wert, wenn diese Zahl zur Potenz 1/2 erhoben wird.

Argument
Beschreibung
metric
Die Metrik, für die die Quadratwurzel berechnet werden soll.

Anwendungsfall: Gibt die Quadratwurzel einer Zahl oder Metrik zurück, z. B. das Auffinden der Varianzwurzel bei der Berechnung der Standardabweichung oder der Normalisierung von Werten in einem Datensatz. Dies ist für erweiterte statistische Berechnungen oder Datenumwandlungsberechnungen nützlich.

Im Generator für berechnete Metriken: Anwenden Quadratwurzel auf eine Metrik oder einen Ausdruck. Beispiel: Quadratwurzel(Varianz(Umsatz)) gibt die Standardabweichung von "".

TIP
Wird verwendet, wenn Sie Metriken proportional skalieren müssen oder um andere statistische Funktionen zu unterstützen, die auf Stammwerten basieren.

Standardabweichung standard-deviation

Effekt STANDARD DEVIATION(metric, include_zeros)

[Tabelle]{class="badge neutral"} Gibt die Standardabweichung (d. h. die Quadratwurzel der Varianz) basierend auf einer Stichprobenpopulation von Daten zurück.

Argument
Beschreibung
Die Metrik, für die die Standardabweichung berechnet werden soll.
include_zeros
Gibt an, ob Nullwerte in die Berechnungen einbezogen werden sollen oder nicht.

Anwendungsfall: Messen Sie, wie viele Werte vom Durchschnitt abweichen, z. B. wie konsistent der tägliche Umsatz oder die Besuche im Laufe der Zeit sind. Dies hilft bei der Identifizierung von Volatilität, Stabilität oder ungewöhnlichen Leistungsschwankungen.

Im Generator für berechnete Metriken: Wenden Sie Standardabweichung auf eine Metrik wie Umsatz oder Besuche an, um den Spread der Werte innerhalb der ausgewählten Aufschlüsselung oder des Datumsbereichs zu berechnen. Beispiel: Standardabweichung(Umsatz) zeigt an, wie stark der tägliche Umsatz vom Mittelwert abweicht.

TIP
Verwenden Sie with Mean, um Anomalien zu erkennen oder die Konsistenz der Leistung über Kampagnen, Produkte oder Segmente hinweg zu vergleichen.

Varianz variance

Effekt VARIANCE(metric, include_zeros)

[Tabelle]{class="badge neutral"} Gibt die Schwankung basierend auf einer Beispieldatenpopulation zurück.

Argument
Beschreibung
metric
Die Metrik, für die die Varianz berechnet werden soll.
include_zeros
Gibt an, ob Nullwerte in die Berechnungen einbezogen werden sollen oder nicht.

Anwendungsfall: Messen Sie, wie weit sich die Werte in einem Datensatz vom Mittelwert entfernen, z. B. indem Sie analysieren, wie stark sich der tägliche Umsatz oder die Sitzungsdauer im Laufe der Zeit verändert. Dies hilft bei der Quantifizierung des Grads der Konsistenz oder der Schwankung der Leistung.

Im Generator für berechnete Metriken: Wenden Sie Varianz auf eine Metrik wie Umsatz oder Besuchszeit pro Besuch an, um die durchschnittliche quadratische Abweichung vom Mittelwert zu berechnen. Beispiel: Variance(Umsatz) zeigt, wie stark sich die Umsatzwerte vom Durchschnitt im ausgewählten Bereich unterscheiden.

TIP
Verwenden Sie mit Standardabweichung um die Datenvariabilität besser zu verstehen und Bereiche mit unvorhersehbarer Leistung zu identifizieren.

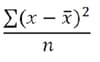
Die Gleichung für VARIANCE lautet:

{width="100"}

Dabei ist x der Mittelwert der Stichprobe, MEAN(metric), und n ist der Stichprobenumfang.

Zur Berechnung einer Varianz wird eine gesamte Spalte von Zahlen betrachtet. Aus dieser Liste von Zahlen berechnen Sie zunächst den Durchschnitt. Sobald Sie den Durchschnitt ermittelt haben, sehen Sie sich jeden Eintrag an und gehen wie folgt vor:

  1. Ziehen Sie den Durchschnitt von der Zahl ab.

  2. Quadrieren Sie das Ergebnis.

  3. Fügen Sie diesen Wert zum Gesamtergebnis hinzu.

Sobald Sie die gesamte Spalte durchlaufen haben, erhalten Sie ein einziges Gesamtergebnis. Dieser Gesamtbetrag wird dann durch die Anzahl der Elemente in der Spalte geteilt. Diese Zahl ist die Varianz für die Spalte. Es ist eine einzelne Zahl. Sie wird jedoch als Zahlenspalte angezeigt.

Im Beispiel der folgenden Spalte mit drei Elementen:

Spalte
1
2
3

Der Durchschnitt dieser Spalte ist 2. Die Varianz für die Spalte ist ((1 - 2)2 + (2 - 2)2 + (3 - 2)2/3) = 2/3.

recommendation-more-help
46b8682c-fda6-4669-9355-1a44923e549e