从Campaign Standard到Campaign v8的用户访问管理 user-management-acs

通过Adobe Campaign Standard和Adobe Campaign v8,用户可以定义和管理不同用户/操作员的权限。 这些权限包括授予用户访问产品各种功能的特定权限。 但是,这两种产品使用不同的方法和实施来管理用户访问权限。

Adobe Campaign Standard和Campaign v8中使用了以下概念来实现用户访问管理:

Campaign Standard
Campaign v8
用户
操作员
角色
已命名权限
安全组
操作员组
组织实体
文件夹权限

从安全组到操作员组的迁移方法

IMPORTANT
这些角色/已命名权限的功能在实施中可能有所不同,这可能会导致授权问题(例如,权限提升或功能中断)。 我们建议用户在转换后查看这些映射,以确保进行正确的访问控制。 了解有关权限的详细信息

下表概述了从Adobe Campaign Standard过渡到Campaign v8时用户角色组的迁移方法。 在Campaign Standard中,安全组(在Campaign v8中称为​ 操作员组)用于将一组角色分配给用户。 虽然某些安全组/操作员组是现成可用的,但如果需要,用户可以创建新组或修改现有组。

Campaign Standard
Campaign v8
术语
安全组
操作员组

在Adobe Campaign Standard和Campaign v8中,安全组 ​和​ 操作员组 ​都映射到管理控制台中的产品配置文件。 如果要向用户分配​ 安全组 ​或​ 操作员组,您可以在管理控制台中链接相应的​ 产品配置文件。 此关联在用户登录时同步。 了解有关产品配置文件的更多信息

Campaign Standard安全组
Campaign v8操作员组
管理员
管理员
投放主管
管理员
工作流监督者
工作流监督者

从用户角色到已命名权限的迁移方法

IMPORTANT
从Adobe Campaign Standard迁移到Campaign v8期间,具有​ 数据模型 ​角色但不具有​ 管理 ​角色的用户将自动获得​ 管理 ​访问权限,因为Campaign v8中的架构创建需要管理权限。 要防止出现这种情况,请在迁移之前删除其​ 数据模型 ​角色。

在Adobe Campaign Standard中,术语​ 用户角色 ​在Campaign v8中称为​ Named right。 下表概述了在Campaign v8中用于与Campaign Standard中的​ 用户角色 ​对应的​ 已命名权限 ​的术语。

Campaign Standard用户角色
Campaign v8命名权限
描述
管理
管理
具有管理权限的用户具有实例的完全访问权限。
数据模型
管理
有权运行发布和创建自定义资源。 管理员可以在Campaign v8中使用与架构创建相关的功能。
可投放性
管理
有权批准以前分析的投放。
导出
导出
导出数据的权限。
文件访问
文件访问
有权批准以前分析的投放。
一般导入
导入
通用数据导入权限
准备投放
准备投放
有权创建、修改、准备和删除投放。
SQL脚本执行
SQL脚本执行
有权直接在数据库上执行任何SQL命令。
开始投放
开始投放
有权批准以前分析的投放。
系统命令执行
项目执行
有权在服务器上执行系统命令。
工作流
工作流
有权管理工作流开始、停止、暂停等的执行。

组织单位的迁移方法

IMPORTANT
Adobe Campaign Standard中没有作为直接或间接父项的​ 所有(所有) ​的组织单位将不会迁移到Campaign v8。


为多个安全组中的用户分配了最高级别安全组的组织单位。 如果多个组具有平行的顶级单位,则系统会为Campaign Standard中的用户选择组织单位,并且该用户只能访问系统选择的组织单位及其子级。 在迁移后的Campaign v8中,用户将有权访问​ 所有分配的组织单位及其子单位,权限可能会不断提升。 要防止出现这种情况,请避免将用户分配给具有并行组织单位的安全组。 了解有关并行组织单位分配的更多信息。

在Adobe Campaign Standard中,组织单位 ​映射到Campaign v8中的现有​ 文件夹 ​层次结构模型,以维护类似的访问控制。 了解有关文件夹管理的更多信息

Campaign Standard
Campaign v8
术语
组织实体
文件夹

关于并行组织单位分配 parallel-assignments

当用户有权访问层次结构中单独分支中存在的多个单位(通过安全组分配)而没有权限访问公共父组织单位时,会发生并行组织单位分配。 这会在迁移期间造成安全风险。

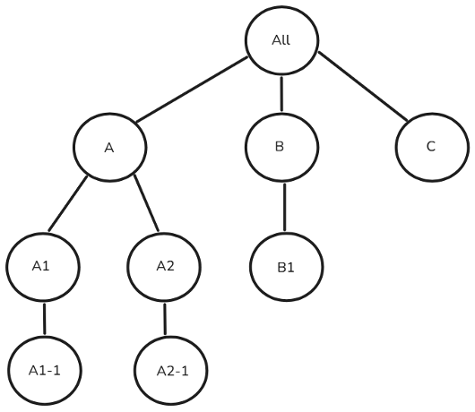
例如,请考虑以下组织单位层次结构:

并行组织单位分配示例图表 {width="50%" modal="regular"}

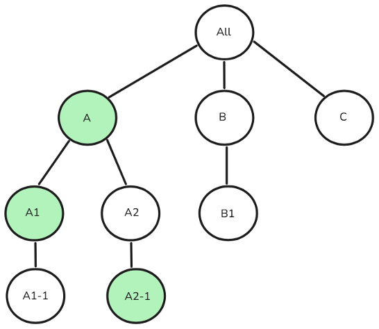
如果没有并行组织单位,任务将如下所示:

没有并行组织单元示例图表 {width="50%" modal="regular"}

在此,用户有权访问组织单位A、A1和A2-1,所有这些都连接在父组织单位A下。用户可以访问A下的所有内容。

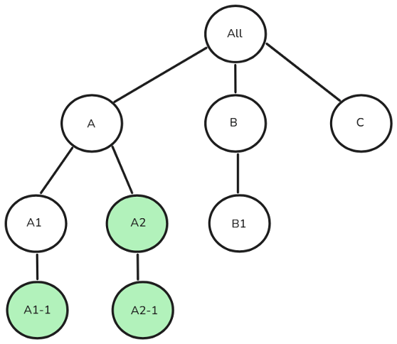
以下任务包含并行组织单位:

使用并行组织单元示例图表 {width="50%" modal="regular"}

用户有权访问A1-1、A2和A2-1,它们存在于没有公共分配父项的单独分支中。

安全影响

  • 在Campaign Standard中,系统会为用户选择一个顶级组织单位(A1-1或A2),并将访问权限限制为该单位及其子级。
  • 迁移到Campaign V8后,用户将获得对所有已分配组织单位及其子单位的资源的访问权限。

分辨率

通过确保分配给用户的所有组织单位都归属于也分配给用户的单个、公共的父单位,可以解决并行组织单位分配问题。

下面列出了一些实现此目标的方法:

  1. 删除对多个分支的访问权限:撤销对多个并行分支的访问权限,并确保所有访问权限都位于单个父级下。
  2. 分配公共父项:授予包含所有所需访问点的相应公共父项组织单位的访问权限。
  3. 重新构建层次结构:修改组织单元结构,将所有需要的访问权限置于单个分支下。

对于以上用户有权访问A1-1、A2和A2-1的示例,具体的分辨率步骤如下:

  1. 删除对多个分支的访问权限:

    1. 撤销对A1-1的访问权限,仅保留对A2(包括A2-1)的访问权限,或者
    2. 撤销对A2和A2-1的访问权限,仅保留对A1-1的访问权限
  2. 分配公共父级:

    1. 授予对组织单元A(A1-1和A2的共同父级)的访问权限,或者
    2. 授予对“全部”的访问权限,这将覆盖整个层次结构
  3. 重新构建层次结构:

    1. 将A1-1移到A2下,或
    2. 将A2和A2-1移到A1-1下

从计划迁移方法

在Campaign v8中,程序 ​表示为​ 文件夹。 Campaign v8允许创建文件夹并允许限制对文件夹的访问。

通过使用​ ​和​ 已命名的权限操作员 ​可以被授予访问导航层次结构中的特定​ 文件夹 ​的权限,并且有权分配读取、写入和删除权限。 了解有关文件夹管理的更多信息

由于​ 项目 ​在Campaign v8中视为​ 文件夹,因此可以采用与任何其他文件夹相同的方式管理其访问权限。 迁移后,Campaign Standard管理员可以执行以下步骤:

  1. 在资源管理器中,右键单击任意文件夹并选择​ 属性……

  2. 导航到​ 安全 ​选项卡。

  3. 根据所需的访问模型修改操作员组权限。

用于访问REST API的产品配置文件映射

要从Campaign v8中的执行实例访问事务性API,除​ 管理员 ​和​ 消息中心 ​产品配置文件之外,还需要新的​ 产品配置文件。 此新​ 产品配置文件 ​将添加到Campaign Standard中的现有或预创建的技术帐户中。

迁移后,如果Campaign Standard用户不希望将其​ 技术帐户 ​关联到​ 管理员 ​产品配置文件,则应审查其​ 产品配置文件映射 ​并分配相应的​ 产品配置文件。 对于未来的集成,我们建议在​ REST URL ​中使用Campaign v8 租户ID,而不是使用以前的Campaign Standard 租户ID

向Campaign Standard操作员迁移对内置Campaign资源的访问权限

从Campaign Standard迁移的操作员将拥有对Campaign v8中特定内置资源的读取权限。

未迁移的安全组和角色 non-migrated-groups-roles

以下是尚未过渡的Campaign Standard角色列表:

  • 默认中继帐户

  • 消息中心推送

以下是尚未转换的Campaign Standard安全组映射列表。

  • 消息中心代理

  • 消息中心推送代理

  • Adobe Experience Manager应用程序管理器

  • 中继帐户

NOTE
在Adobe Campaign Standard中创建并分配给用户的自定义角色将不会迁移到Adobe Campaign v8。
recommendation-more-help
9af4c60b-1f7d-4c0e-a34a-c78c7dd3fc45