Gerenciamento de acesso do usuário do Campaign Standard para o Campaign v8 user-management-acs

O Adobe Campaign Standard e o Adobe Campaign v8 permitem que os usuários definam e gerenciem permissões para usuários/operadores diferentes. Essas permissões consistem em direitos específicos que concedem aos usuários acesso a vários recursos do produto. No entanto, os dois produtos usam abordagens e implementações distintas para gerenciar o acesso do usuário.

Os seguintes conceitos são usados no Adobe Campaign Standard e no Campaign v8 para obter o gerenciamento de acesso do usuário:

Campaign Standard
Campaign v8
Usuário(a)
Operador
Função
Nomeado à direita
Grupo de segurança
Grupo de Operadores
Entidade organizacional
Permissão de pasta

Abordagem de migração do grupo de segurança para o grupo de operadores

IMPORTANT
Os recursos dessas Funções/Direitos nomeados podem variar na implementação, causando possivelmente problemas de autorização (por exemplo, elevação de privilégios ou interrupções de funcionalidade). Recomendamos que os usuários analisem esses mapeamentos após a transição para garantir o controle de acesso adequado. Saiba mais sobre permissões

A tabela abaixo descreve a abordagem de migração para grupos de funções de usuário ao fazer a transição do Adobe Campaign Standard para o Campaign v8. No Campaign Standard, um grupo de segurança, conhecido como um grupo de operadores no Campaign v8, é usado para atribuir um conjunto de funções a um usuário. Embora alguns grupos de segurança/grupos de operadores estejam disponíveis prontamente, os usuários podem criar novos grupos ou modificar os existentes, se necessário.

Campaign Standard
Campaign v8
Terminologia
Grupo de segurança
Grupo de Operadores

Tanto no Adobe Campaign Standard quanto no Campaign v8, os grupos de segurança e os grupos de operadores estão mapeados para perfis de produto no Admin Console. Se quiser atribuir um Grupo de segurança ou Grupo de operadores a um usuário, você poderá vincular o Perfil de produto correspondente no Admin Console. Essa associação é sincronizada quando o usuário faz logon. Saiba mais sobre o Perfil do produto

Grupo de segurança do Campaign Standard
Grupo de operadores do Campaign v8
Administradores
Administradores
Supervisores de entrega
Administradores
Supervisores de fluxo de trabalho
Supervisores de workflow

Abordagem de migração de Funções de usuário para Direitos nomeados

IMPORTANT
Durante a migração do Adobe Campaign Standard para o Campaign v8, os usuários com a função Modelo de Dados, mas não Administração, terão acesso automático ao Administração, pois a criação de esquemas no Campaign v8 requer direitos de administração. Para evitar isso, remova a função de Modelo de Dados antes da migração.

No Adobe Campaign Standard, o termo Função de usuário é chamado de Direito nomeado no Campaign v8. A tabela abaixo descreve a terminologia usada para Direitos nomeados no Campaign v8 correspondente a Funções do usuário no Campaign Standard.

Função de Usuário do Campaign Standard
Direito nomeado do Campaign v8
Descrição
Administração
Administração
O usuário com o direito de Administração tem acesso total à instância.
Modelo de dados
Administração
Direito de executar publicações e criar recursos personalizados. Funcionalidade relacionada à criação de esquema disponível para o Administrador no Campaign v8.
Capacidade de entrega
Administração
Direito de aprovar deliveries anteriormente analisados.
Exportar
Exportar
Direito de exportar dados.
Acesso ao arquivo
Acesso a arquivos
Direito de aprovar deliveries anteriormente analisados.
Importação genérica
Importar
Direito de importação de dados genéricos
Preparar deliveries
Preparar deliveries
Direito de criar, modificar, preparar e excluir deliveries.
Execução de Script SQL
Execução de Script SQL
Direito de executar qualquer comando SQL diretamente no banco de dados.
Iniciar deliveries
Iniciar deliveries
Direito de aprovar deliveries anteriormente analisados.
Execução de Comando do Sistema
Execução do programa
Direito de executar comandos do sistema no servidor.
Fluxo de trabalho
Fluxo de trabalho
Direito de gerenciar a execução de workflows início, parada, pausa etc.

Abordagem de migração da unidade organizacional

IMPORTANT
As unidades organizacionais na Adobe Campaign Standard sem Todas (todas) como um pai direto ou indireto não serão migradas para o Campaign v8.


Os usuários em vários grupos de segurança recebem a unidade organizacional do grupo de segurança com a classificação mais alta. Se vários grupos tiverem unidades organizacionais paralelas de nível superior, o sistema selecionará a unidade organizacional para o usuário no Campaign Standard e o usuário só terá acesso à unidade organizacional selecionada pelo sistema e seus filhos. No Campaign v8 após a migração, o usuário teria acesso a todas as unidades organizacionais atribuídas e seus filhos, possivelmente aumentando os privilégios. Para evitar isso, evite atribuir usuários a grupos de segurança com unidades organizacionais paralelas. Saiba mais sobre atribuição de unidade organizacional paralela.

No Adobe Campaign Standard, a unidade organizacional está mapeada para o modelo de hierarquia Pasta existente no Campaign v8 para manter um controle de acesso semelhante. Saiba mais sobre o gerenciamento de pastas

Campaign Standard
Campaign v8
Terminologia
Entidade organizacional
Pasta

Sobre a atribuição de unidade organizacional paralela parallel-assignments

Uma atribuição de unidade organizacional paralela ocorre quando um usuário tem acesso a várias unidades (atribuídas por meio de grupos de segurança) que existem em ramificações separadas da hierarquia sem ter acesso a uma unidade organizacional principal comum. Isso cria um risco de segurança durante a migração.

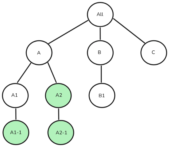
Por exemplo, considere a seguinte hierarquia de unidade organizacional:

Diagrama de exemplo de atribuição de unidade organizacional paralela {width="50%" modal="regular"}

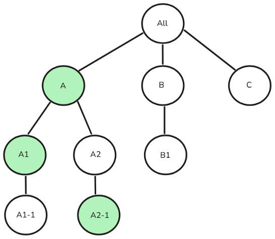
Uma atribuição sem unidades organizacionais paralelas seria semelhante a:

Sem diagrama de amostra da unidade organizacional paralela {width="50%" modal="regular"}

Aqui, o usuário tem acesso às unidades organizacionais A, A1 e A2-1, todas conectadas na unidade organizacional principal A. O usuário pode acessar tudo em A.

A atribuição a seguir contém unidades organizacionais paralelas:

Com diagrama de amostra da unidade organizacional paralela {width="50%" modal="regular"}

O usuário tem acesso a A1-1, A2 e A2-1, que existem em ramificações separadas sem pai atribuído comum.

Implicações de segurança

  • No Campaign Standard, o sistema seleciona uma unidade organizacional de nível superior (A1-1 ou A2) para o usuário, limitando o acesso somente a essa unidade e seus filhos.
  • Após a migração para o Campaign V8, o usuário obtém acesso aos recursos em todas as unidades organizacionais atribuídas e seus filhos.

Resolução

A atribuição de unidade organizacional paralela pode ser resolvida garantindo que todas as unidades organizacionais atribuídas a um usuário se enquadrem em uma única unidade pai comum que também esteja atribuída ao usuário.

Algumas maneiras de fazer isso são mencionadas abaixo:

  1. Remover acesso a várias ramificações: cancele o acesso a várias ramificações paralelas e verifique se todo o acesso está em um único pai.
  2. Atribuir um pai comum: conceda acesso a uma unidade organizacional principal comum apropriada que inclua todos os pontos de acesso necessários.
  3. Reestruturar a hierarquia: modifique a estrutura da unidade organizacional para colocar todo o acesso necessário em uma única ramificação.

Para o exemplo acima, onde um usuário tem acesso a A1-1, A2 e A2-1, as etapas de resolução específicas são:

  1. Remover o acesso a várias ramificações:

    1. Revogar acesso a A1-1, deixando somente acesso a A2 (que inclui A2-1), ou
    2. Revogar acesso a A2 e A2-1, deixando somente acesso a A1-1
  2. Atribuir um pai comum:

    1. Conceder acesso à unidade organizacional A, que é a entidade pai comum de A1-1 e A2, ou
    2. Conceder acesso a Todos, que abrange toda a hierarquia
  3. Reestruturar a hierarquia:

    1. Mova A1-1 em A2, ou
    2. Mover A2 e A2-1 em A1-1

Abordagem de migração do Programa

No Campaign v8, Programas são representados como Pastas. O Campaign v8 permite a criação de pastas e a restrição de acesso a elas.

Ao usar Grupos e Direitos nomeados, os Operadores podem receber acesso a Pastas específicas da hierarquia de navegação, com a capacidade de atribuir permissões de leitura, gravação e exclusão. Saiba mais sobre o gerenciamento de pastas

Como um Programa é tratado como uma Pasta no Campaign v8, seu acesso pode ser gerenciado da mesma forma que qualquer outra pasta. Após a migração, os administradores do Campaign Standard podem seguir estas etapas:

  1. No Explorer, clique com o botão direito do mouse em qualquer pasta e selecione Propriedades….

  2. Navegue até a guia Segurança.

  3. Modifique as permissões do grupo de operadores de acordo com o modelo de acesso desejado.

Mapeamento de perfil de produto para acessar APIs REST

Para acessar APIs transacionais da instância de execução no Campaign v8, é necessário um novo Perfil de produto, além dos perfis de produto Administrador e Centro de Mensagens. Este novo Perfil de produto será adicionado às contas técnicas existentes ou pré-criadas na Campaign Standard.

Após a migração, os usuários do Campaign Standard devem examinar seus mapeamentos de Perfil de Produto e atribuir o Perfil de Produto apropriado se não quiserem vincular suas contas técnicas ao Perfil de Produto do Administrador. Para integrações futuras, recomendamos usar a ID do locatário do Campaign v8 na URL REST em vez da ID do locatário do Campaign Standard anterior.

Migração de acesso aos recursos integrados do Campaign para operadores do Campaign Standard

Os operadores migrados do Campaign Standard terão acesso de leitura a recursos integrados específicos no Campaign v8.

Funções e grupos de segurança não migrados non-migrated-groups-roles

Veja abaixo uma lista de funções do Campaign Standard que não foram migradas:

  • Conta de Retransmissão Padrão

  • Push do Centro de mensagens

Veja abaixo uma lista de mapeamentos de grupos de segurança do Campaign Standard que não foram migrados.

  • Agentes do Centro de mensagens

  • Agentes de push do centro de mensagens

  • gerentes de aplicativos Adobe Experience Manager

  • Conta de retransmissão

NOTE
As funções personalizadas criadas e atribuídas a usuários no Adobe Campaign Standard não serão migradas para o Adobe Campaign v8.
recommendation-more-help
9af4c60b-1f7d-4c0e-a34a-c78c7dd3fc45