Campaign Standardから Campaign v8 へのユーザーアクセス管理 user-management-acs

Adobe Campaign StandardとAdobe Campaign v8 の両方を使用すると、ユーザーは異なるユーザー/オペレーターの権限を定義および管理できます。 これらの権限は、製品の様々な機能へのアクセス権をユーザーに付与する特定の権限で構成されます。 ただし、これら 2 つの製品では、ユーザーアクセスを管理するための個別のアプローチと実装が使用されています。

Adobe Campaign Standardと Campaign v8 では、ユーザーアクセス管理を実現するために次の概念が使用されています。

Campaign Standard
Campaign v8
ユーザー
演算子
役割
ネームド権限
セキュリティグループ
オペレーターグループ
組織単位
フォルダー権限

セキュリティグループからオペレーターグループへの移行アプローチ

IMPORTANT
これらの役割/ネームド権限の機能は、実装が異なる場合があり、権限の昇格や機能の中断などの承認の問題を引き起こす可能性があります。 適切なアクセス制御を確保するために、移行後にこれらのマッピングを確認することをお勧めします。 詳しくは、権限を参照してください

次の表に、Adobe Campaign Standardから Campaign v8 に移行する際の、ユーザーロールグループの移行アプローチの概要を示します。 Campaign Standardでは、Campaign v8 で オペレーターグループ と呼ばれる セキュリティグループ を使用して、一連のロールをユーザーに割り当てます。 一部のセキュリティグループやオペレーターグループはすぐに使用できますが、ユーザーは、必要に応じて新しいグループを作成したり、既存のグループを変更したりできます。

Campaign Standard
Campaign v8
用語
セキュリティグループ
オペレーターグループ

Adobe Campaign Standardと Campaign v8 の両方で、セキュリティグループ および オペレーターグループ が Admin Console の製品プロファイルにマッピングされます。 セキュリティグループ または オペレーターグループ をユーザーに割り当てる場合は、対応する 製品プロファイル を Admin Console でリンクできます。 この関連付けは、ユーザーがログインしたときに同期されます。 ​ 製品プロファイルの詳細情報 ​

Campaign Standard セキュリティ グループ
Campaign v8 オペレーターグループ
管理者
管理者
配信スーパーバイザー
管理者
ワークフロースーパーバイザー
ワークフロースーパーバイザー

ユーザーの役割からネームド権限への移行アプローチ

IMPORTANT
Campaign v8 でのスキーマ作成には管理者権限が必要なので、Adobe Campaign Standardから Campaign v8 への移行中に、データモデル のロールを持つが 管理 を持たないユーザーは、自動的に 管理 アクセス権を取得します。 これを防ぐには、移行前に データモデル の役割を削除します。

Adobe Campaign Standardでは、Campaign v8 では ユーザーロール という用語は ネームド権限 と呼ばれます。 次の表に、Campaign Standardの ユーザーの役割 に対応する Campaign v8 の ネームド権限 に使用される用語の概要を示します。

Campaign Standard ユーザーロール
Campaign v8 のネームド権限
説明
管理
管理
管理権限を持つユーザーは、インスタンスに対して完全なアクセス権を持ちます。
データモデル
管理
パブリケーションを実行し、カスタム リソースを作成する権限。 Campaign v8 で管理者が使用できるスキーマ作成関連の機能。
配信品質
管理
以前に分析された配信を承認する権限。
エクスポート
エクスポート
データを書き出す権限。
ファイルアクセス
ファイルへのアクセス
以前に分析された配信を承認する権限。
一般的なインポート
インポート
汎用データインポートの権限
配信の準備
配信の準備
配信を作成、変更、準備および削除する権限。
SQL スクリプトの実行
SQL スクリプトの実行
データベース上で直接 SQL コマンドを実行する権限。
配信の開始
配信の開始
以前に分析された配信を承認する権限。
システムコマンドの実行
プログラムの実行
サーバ上でシステム・コマンドを実行する権限。
ワークフロー
ワークフロー
ワークフローの実行を管理する権限の開始、停止、一時停止など

組織単位からの移行アプローチ

IMPORTANT
直接または間接の親として すべて(すべて) を持たないAdobe Campaign Standardの組織単位は、Campaign v8 に移行されません。


複数のセキュリティ グループのユーザーには、最上位のセキュリティ グループの組織単位が割り当てられます。 複数のグループに並行する最上位レベルのユニットがある場合、システムはCampaign Standardでユーザーの組織単位を選択し、ユーザーは、システムで選択された組織単位とその子にのみアクセスできます。 移行後の Campaign v8 では、ユーザーは 割り当てられたすべての組織単位とその子 にアクセスでき、権限がエスカレーションされる可能性があります。 これを防ぐには、ユーザーを並列の組織単位を持つセキュリティ グループに割り当てないでください。 詳しくは、​ 並列組織単位の割り当て ​ を参照してください。

Adobe Campaign Standardでは、同様のアクセス制御を維持するために、組織単位 が Campaign v8 の既存の フォルダー 階層モデルにマッピングされます。 ​ フォルダー管理の詳細情報 ​

Campaign Standard
Campaign v8
用語
組織単位
フォルダー

並行組織単位の割り当てについて parallel-assignments

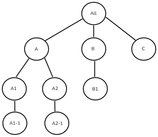
並行組織単位(parallel organizational unit assignment)は、ユーザーが階層の別々のブランチに存在する複数の単位(セキュリティ グループによって割り当てられる)にアクセスできる場合に、共通の親組織単位にアクセスできない場合に発生します。 これにより、移行中にセキュリティ上のリスクが生じます。

例えば、次のような組織単位階層があるとします。

​ 並列組織単位の割り当てのサンプル図 ​ {width="50%" modal="regular"}

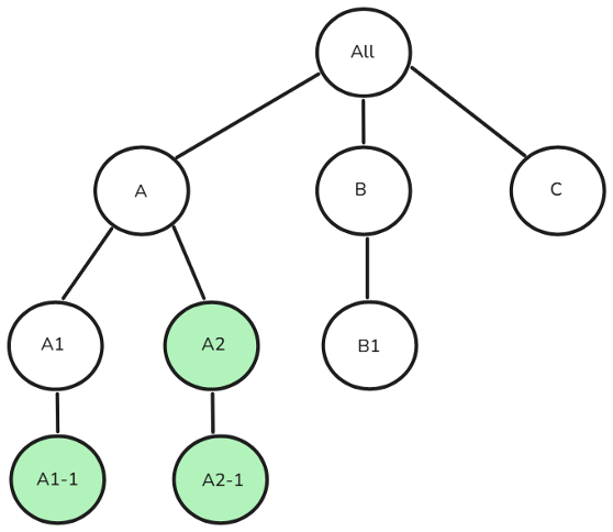
並列の組織単位を持たない割り当ては、次のようになります。

​ 並列組織単位のサンプル図なし ​ {width="50%" modal="regular"}

ここで、ユーザーは親組織単位 A の下に接続されている組織単位 A、A1、A2-1 にアクセスできます。ユーザーは、A の下のすべての項目にアクセスできます。

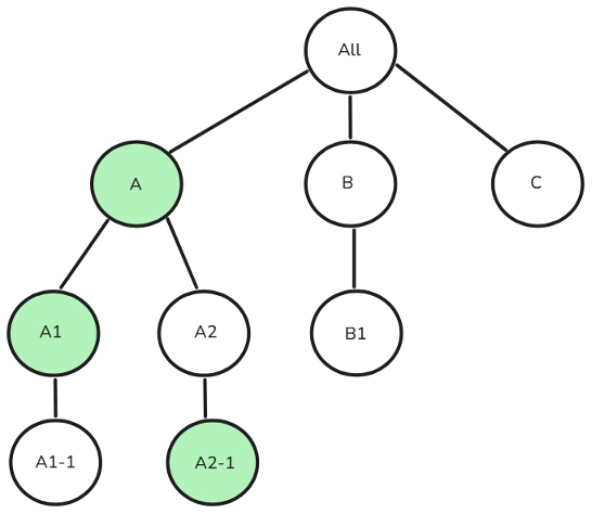
次の割り当てには、並列の組織単位が含まれています:

​ 並列組織単位のサンプル図を使用 ​ {width="50%" modal="regular"}

ユーザーは、共通の親が割り当てられていない別々のブランチに存在する A1-1、A2 および A2-1 にアクセスできます。

セキュリティへの影響

  • Campaign Standardでは、ユーザーに対して 1 つの最上位の組織単位(A1-1 または A2)が選択され、その単位とその子へのアクセスのみが制限されます。
  • Campaign V8 への移行後は、割り当てられたすべての組織単位とその子のリソースにユーザーがアクセスできます。

解決策

組織単位の同時割り当てを解決するには、ユーザーに割り当てられたすべての組織単位が、同じようにユーザーに割り当てられている、共通の単一の親単位に該当するようにします。

これを実現する方法をいくつか以下に示します。

  1. 複数のブランチへのアクセスを削除:複数の並列ブランチへのアクセスを取り消し、すべてのアクセスが 1 つの親の下にあることを確認します。
  2. 共通の親の割り当て:必要なすべてのアクセスポイントを含む適切な共通の親組織単位にアクセス権を付与します。
  3. 階層の再構築:組織単位構造を変更して、必要なすべてのアクセスを 1 つのブランチの下に配置します。

前述の例で、ユーザーが A1-1、A2 および A2-1 にアクセスできる場合、具体的な解像度の手順は次のとおりです。

  1. 複数のブランチへのアクセスを削除します。

    1. A1-1 へのアクセスを取り消し、A2 (A2-1 を含む)へのアクセスのみを残す、または
    2. A2 および A2-1 へのアクセスを取り消し、A1-1 へのアクセスのみを残す
  2. 共通の親を割り当てます。

    1. A1-1 と A2 の共通の親である組織単位 A へのアクセス権を付与する
    2. すべての階層に対してアクセス権を付与
  3. 階層を再構築します。

    1. A1-1 を A2 の下に移動する
    2. A2 と A2-1 を A1-1 の下に移動する

プログラムからの移行アプローチ

Campaign v8 では、プログラムフォルダー として表されます。 Campaign v8 では、フォルダーを作成でき、フォルダーへのアクセスを制限できます。

グループ および ネームド権限 を使用すると、オペレーター にナビゲーション階層内の特定の フォルダー へのアクセス権を付与し、読み取り、書き込みおよび削除の権限を割り当てることができます。 ​ フォルダー管理の詳細情報 ​

プログラム は Campaign v8 では フォルダー として扱われるので、そのアクセスは他のフォルダーと同じように管理できます。 移行後、Campaign Standard管理者は次の手順を実行できます。

  1. エクスプローラーで任意のフォルダーを右クリックし、「プロパティ…」を選択します。

  2. セキュリティ」タブに移動します。

  3. 目的のアクセスモデルに従って、オペレーターグループの権限を変更します。

REST API にアクセスするための製品プロファイルのマッピング

Campaign v8 の実行インスタンスからトランザクション API にアクセスするには、管理者 および Message Center 製品プロファイルに加えて、新しい 製品プロファイル が必要です。 この新しい 製品プロファイル は、Campaign Standardの既存のテクニカルアカウントまたは事前に作成されたテクニカルアカウントに追加されます。

移行後、Campaign Standard ユーザーは 製品プロファイルのマッピング を確認し、適切な 製品プロファイル を割り当てる必要があります。その際に テクニカルアカウント管理者 製品プロファイルにリンクしたくないとします。 今後の統合では、以前のCampaign Standard テナント ID の代わりに、REST URL で Campaign v8 テナント ID を使用することをお勧めします。

Campaign Standard オペレーター向けの組み込み Campaign リソースへのアクセスの移行

Campaign Standardから移行したオペレーターは、Campaign v8 の特定のビルトインリソースに読み取りアクセスできます。

移行されていないセキュリティ・グループと役割 non-migrated-groups-roles

移行されていないCampaign Standardの役割のリストを以下に示します。

  • 既定のリレーアカウント

  • Message Center のプッシュ

移行されていないCampaign Standard セキュリティグループマッピングのリストを以下に示します。

  • Message Center エージェント

  • Message Center プッシュエージェント

  • Adobe Experience Manager アプリケーションマネージャー

  • リレーアカウント

NOTE
Adobe Campaign Standardで作成され、ユーザーに割り当てられたカスタムの役割は、Adobe Campaign v8 に移行されません。
recommendation-more-help
9af4c60b-1f7d-4c0e-a34a-c78c7dd3fc45