Gestione degli accessi utente da Campaign Standard a Campaign v8 user-management-acs

Sia Adobe Campaign Standard che Adobe Campaign v8 consentono agli utenti di definire e gestire le autorizzazioni per diversi utenti/operatori. Queste autorizzazioni sono costituite da diritti specifici che consentono agli utenti di accedere a varie funzioni del prodotto. Tuttavia, i due prodotti utilizzano approcci e implementazioni distinti per la gestione dell’accesso degli utenti.

Per ottenere la gestione degli accessi utente in Adobe Campaign Standard e Campaign v8 vengono utilizzati i seguenti concetti:

Campaign Standard
Campaign v8
Utente
Operatore
Ruolo
Denominato a destra
Gruppo di sicurezza
Gruppo di operatori
Unità organizzativa
Autorizzazione cartella

Approccio alla migrazione dal gruppo Sicurezza al gruppo Operatori

IMPORTANT
Le funzionalità di questi ruoli/diritti denominati possono variare nell’implementazione, causando potenzialmente problemi di autorizzazione (ad esempio, elevazione dei privilegi o interruzioni di funzionalità). Consigliamo agli utenti di rivedere queste mappature dopo la transizione per garantire un corretto controllo degli accessi. Ulteriori informazioni sulle autorizzazioni

La tabella seguente illustra l’approccio di migrazione per i gruppi di ruoli utente durante la transizione da Adobe Campaign Standard a Campaign v8. In Campaign Standard, viene utilizzato un gruppo di sicurezza, denominato gruppo di operatori in Campaign v8, per assegnare un set di ruoli a un utente. Anche se alcuni gruppi di sicurezza/gruppi di operatori sono predefiniti, gli utenti possono creare nuovi gruppi o modificarne di esistenti, se necessario.

Campaign Standard
Campaign v8
Terminologia
Gruppo di sicurezza
Gruppo di operatori

Sia in Adobe Campaign Standard che in Campaign v8, I gruppi di sicurezza e I gruppi di operatori sono mappati ai profili di prodotto in Admin Console. Se desideri assegnare un gruppo di sicurezza o un gruppo di operatori a un utente, puoi collegare il profilo di prodotto corrispondente in Admin Console. Questa associazione viene sincronizzata al momento dell’accesso dell’utente. Ulteriori informazioni sul profilo di prodotto

Gruppo di sicurezza Campaign Standard
Gruppo di operatori di Campaign v8
Amministratori
Amministratori
Supervisori della consegna
Amministratori
Supervisori del workflow
Supervisori del workflow

Approccio di migrazione da ruoli utente a diritti denominati

IMPORTANT
Durante la migrazione da Adobe Campaign Standard a Campaign v8, gli utenti con il ruolo Modello dati ma non Amministrazione otterranno automaticamente l'accesso Amministrazione, in quanto la creazione dello schema in Campaign v8 richiede diritti di amministrazione. Per evitare questo problema, rimuovi il ruolo Modello dati prima della migrazione.

In Adobe Campaign Standard, il termine Ruolo utente è indicato come Diritto denominato in Campaign v8. La tabella seguente illustra la terminologia utilizzata per Diritti denominati in Campaign v8 corrispondenti a Ruoli utente in Campaign Standard.

Ruolo utente Campaign Standard
Campaign v8 denominato a destra
Descrizione
Amministrazione
Amministrazione
L’utente con i permessi di amministratore ha accesso completo all’istanza.
Modello dati
Amministrazione
Diritto di eseguire pubblicazioni e creare risorse personalizzate. Funzionalità correlate alla creazione di schemi disponibili per l’amministratore in Campaign v8.
Recapito messaggi
Amministrazione
Diritto di approvare le consegne analizzate in precedenza.
Esporta
Esporta
Diritto di esportare i dati.
Accesso ai file
Accesso ai file
Diritto di approvare le consegne analizzate in precedenza.
Importazione generica
Importa
Diritto per l’importazione di dati generici
Preparare le consegne
Preparare le consegne
Diritto di creare, modificare, preparare ed eliminare consegne.
Esecuzione script SQL
Esecuzione script SQL
Diritto di eseguire qualsiasi comando SQL direttamente sul database.
Avviare le consegne
Avviare le consegne
Diritto di approvare le consegne analizzate in precedenza.
Esecuzione comando di sistema
Esecuzione del programma
Diritto di eseguire comandi di sistema sul server.
Flusso di lavoro
Flusso di lavoro
Diritto di gestire l’esecuzione dei flussi di lavoro di avvio, arresto, pausa, ecc.

Approccio alla migrazione dall’unità organizzativa

IMPORTANT
Le unità organizzative in Adobe Campaign Standard senza All (all) come padre diretto o indiretto non verranno migrate a Campaign v8.


Agli utenti di più gruppi di sicurezza viene assegnata l’unità organizzativa del gruppo di sicurezza di livello più alto. Se più gruppi dispongono di unità parallele di primo livello, il sistema seleziona l’unità organizzativa per l’utente in Campaign Standard e l’utente avrà accesso solo all’unità organizzativa selezionata dal sistema e ai relativi elementi secondari. In Campaign v8 dopo la migrazione, l'utente avrebbe accesso a tutte le unità organizzative assegnate e ai relativi elementi secondari, aumentando potenzialmente i privilegi. Per evitare questo problema, evita di assegnare gli utenti a gruppi di sicurezza con unità organizzative parallele. Ulteriori informazioni sull'assegnazione di unità organizzativa parallela.

In Adobe Campaign Standard, l'unità organizzativa è mappata al modello gerarchico Cartella esistente in Campaign v8 per mantenere un controllo degli accessi simile. Ulteriori informazioni sulla gestione delle cartelle

Campaign Standard
Campaign v8
Terminologia
Unità organizzativa
Cartella

Informazioni sull’assegnazione di unità organizzative parallele parallel-assignments

L’assegnazione di un’unità organizzativa parallela si verifica quando un utente ha accesso a più unità (assegnate tramite gruppi di sicurezza) che esistono in rami separati della gerarchia senza avere accesso a un’unità organizzativa principale comune. Questo crea un rischio per la sicurezza durante la migrazione.

Ad esempio, considera la seguente gerarchia di unità organizzative:

Diagramma di esempio assegnazione unità organizzativa parallela {width="50%" modal="regular"}

Un’assegnazione senza unità organizzative parallele sarà simile alla seguente:

Senza diagramma di esempio dell'unità organizzativa parallela {width="50%" modal="regular"}

In questo caso, l’utente ha accesso alle unità organizzative A, A1 e A2-1, tutte collegate sotto l’unità organizzativa principale A. L’utente può accedere a tutto ciò che si trova in A.

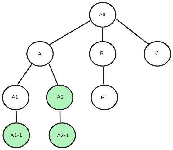
La seguente assegnazione contiene unità organizzative parallele:

Con diagramma di esempio dell'unità organizzativa parallela {width="50%" modal="regular"}

L’utente ha accesso a A1-1, A2 e A2-1, che esistono in rami separati senza alcun elemento principale assegnato in comune.

Implicazioni sulla sicurezza

  • In Campaign Standard, il sistema seleziona un’unità organizzativa di livello superiore (A1-1 o A2) per l’utente, limitando l’accesso solo a tale unità e ai relativi elementi secondari.
  • Dopo la migrazione a Campaign V8, l’utente ottiene l’accesso alle risorse in tutte le unità organizzative assegnate e nei relativi elementi secondari.

Risoluzione

L’assegnazione di un’unità organizzativa parallela può essere risolta facendo in modo che tutte le unità organizzative assegnate a un utente rientrino in un’unica unità principale comune, anch’essa assegnata all’utente.

Di seguito sono indicati alcuni modi per raggiungere questo obiettivo:

  1. Rimuovere l’accesso a più rami: revoca l’accesso a più rami paralleli e assicurati che tutto l’accesso avvenga sotto un singolo elemento principale.
  2. Assegna un elemento padre comune: consente di concedere l’accesso a un’unità organizzativa padre comune appropriata che includa tutti i punti di accesso necessari.
  3. Ristrutturare la gerarchia: modificare la struttura dell’unità organizzativa in modo da collocare tutto l’accesso necessario sotto un singolo ramo.

Nell’esempio precedente, in cui un utente ha accesso ad A1-1, A2 e A2-1, i passaggi per le risoluzioni specifiche sono:

  1. Rimuovi l’accesso a più rami:

    1. Revocare l'accesso a A1-1, lasciando solo l'accesso a A2 (che include A2-1), oppure
    2. Revoca dell'accesso a A2 e A2-1, lasciando solo l'accesso a A1-1
  2. Assegna un elemento padre comune:

    1. Concedere l’accesso all’unità organizzativa A, che è l’elemento padre comune sia di A1-1 che di A2, oppure
    2. Concedi l’accesso a Tutti, che copre l’intera gerarchia
  3. Ristrutturare la gerarchia:

    1. Spostare A1-1 sotto A2, oppure
    2. Spostare A2 e A2-1 sotto A1-1

Approccio alla migrazione dal programma

In Campaign v8, I programmi sono rappresentati come Cartelle. Campaign v8 consente di creare cartelle e di limitarne l’accesso.

Utilizzando Gruppi e Diritti denominati, è possibile concedere a Operatori l'accesso a Cartelle specifiche all'interno della gerarchia di navigazione, con la possibilità di assegnare autorizzazioni di lettura, scrittura ed eliminazione. Ulteriori informazioni sulla gestione delle cartelle

Poiché un Programma è trattato come una Cartella in Campaign v8, il suo accesso può essere gestito nello stesso modo di qualsiasi altra cartella. Dopo la migrazione, gli amministratori di Campaign Standard possono seguire questi passaggi:

  1. In Esplora, fare clic con il pulsante destro del mouse su una cartella e selezionare Proprietà….

  2. Passare alla scheda Protezione.

  3. Modifica le autorizzazioni del gruppo di operatori in base al modello di accesso desiderato.

Mappatura del profilo di prodotto per accedere alle API REST

Per accedere alle API transazionali dall'istanza di esecuzione in Campaign v8, è necessario un nuovo profilo di prodotto, oltre ai profili di prodotto Amministratore e Centro messaggi. Il nuovo profilo di prodotto verrà aggiunto agli account tecnici esistenti o precreati in Campaign Standard.

Dopo la migrazione, gli utenti di Campaign Standard devono rivedere le mappature del profilo di prodotto e assegnare il profilo di prodotto appropriato se non desiderano collegare i loro account tecnici al profilo di prodotto Amministratore. Per le integrazioni future, è consigliabile utilizzare l'ID tenant di Campaign v8 nell' URL REST anziché l'ID tenant di Campaign Standard precedente.

Migrazione dell’accesso alle risorse integrate di Campaign per gli operatori Campaign Standard

Gli operatori migrati da Campaign Standard avranno accesso in lettura a specifiche risorse integrate in Campaign v8.

Ruoli e gruppi di sicurezza non migrati non-migrated-groups-roles

Di seguito è riportato un elenco dei ruoli di Campaign Standard per i quali non è stata eseguita la transizione:

  • Account inoltro predefinito

  • Push del Centro messaggi

Di seguito è riportato un elenco delle mappature dei gruppi di sicurezza di Campaign Standard per le quali non è stata eseguita la transizione.

  • Agenti del Centro messaggi

  • Agenti push del centro messaggi

  • Application manager Adobe Experience Manager

  • Account Relay

NOTE
I ruoli personalizzati creati e assegnati agli utenti in Adobe Campaign Standard non verranno migrati ad Adobe Campaign v8.
recommendation-more-help
9af4c60b-1f7d-4c0e-a34a-c78c7dd3fc45