[Gilt auch für v8]{class="badge positive" title="Gilt auch für Campaign v8"}

Erstellen des ersten deskriptiven Analyseberichts using-the-descriptive-analysis-wizard

Um einen deskriptiven Analysebericht zu erstellen, befolgen Sie die Schritte des dedizierten Assistenten. Seine Konfiguration hängt von den zu analysierenden Daten sowie der gewünschten Darstellung ab.

Analysieren von Daten in der Datenbank analyzing-data-in-the-database

Der Assistent für deskriptive Analysen kann über das Menü Werkzeuge > Deskriptive Analyse gestartet werden: In diesem Fall bezieht sich die Analyse standardmäßig auf die Empfängertabelle (nms:recipient). Die Gesamtheit der Daten in Adobe Campaign dient als Basis.

Wenn Sie eine andere Tabelle als die Standard-Empfängertabelle (nms:recipient) analysieren möchten, klicken Sie auf den Link Erweiterte Einstellungen… im letzten Schritt des Assistenten und wählen Sie die Ihren Einstellungen entsprechende Tabelle aus, in diesem Fall cus:individual:

Wenn die Statistiken sich nur auf einen Teil Ihrer Daten beziehen sollen, können Sie wie in unten stehender Abbildung durch Klick auf den Link Erweiterte Parameter… Datenfilter definieren:

Die Analyse bezieht sich nur auf Empfänger der Datenbank, die mindestens 16 Jahre alt sind und in Berlin wohnen.

Analysieren eines Datensatzes analyzing-a-set-of-data

Der Assistent für deskriptive Analysen kann in verschiedenen anderen Kontexten verwendet werden, z. B. bezogen auf Listen, Workflow-Transitionen, Sendungen oder auf eine Auswahl an Empfangenden.

Er ist über mehrere Knoten im Adobe Campaign-Baum zugänglich, die auf die Empfängertabelle verweisen.

Dort kann er über einen Rechtsklick auf die jeweilige Auswahl gestartet werden. In diesem Fall werden nur die ausgewählten Daten analysiert.

  • Um eine Gruppe von Empfängern zu analysieren, markieren Sie diese und öffnen Sie per Rechtsklick das Kontextmenü. Wählen Sie Aktionen > Analysieren… wie im oben stehenden Beispiel. Wenn auf die Empfängerliste ein Filter angewendet wurde, wird nur der gefilterte Inhalt analysiert.

    Mit der Tastenkombination STRG+A können alle Empfänger des Ordners oder des aktuellen Filters ausgewählt werden. Hierbei werden auch die nicht auf dem Bildschirm sichtbaren Empfänger ausgewählt.

    Der Abschnitt Qualitative Datenanalyse enthält ein Beispiel einer deskriptiven Analyse der Empfänger.

  • Platzieren Sie im Kontext eines Workflows den Cursor auf eine Transition, die auf die Empfängertabelle zeigt, klicken Sie mit der rechten Maustaste und wählen Sie Zielgruppe analysieren aus. Weitere Informationen hierzu finden Sie im Beispiel unter Analysieren einer Übergangszielgruppe in einem Workflow.

  • Um Listen zu analysieren, wählen Sie eine oder mehrere aus und befolgen Sie die gleiche Vorgehensweise wie bei der Empfängeranalyse.

  • Im Kontext eines Versands können Sie die Zielgruppen einer oder mehrerer Sendungen analysieren, indem Sie die jeweiligen Sendungen markieren und dann per Rechtsklick Aktionen > Analysieren… im Kontextmenü auswählen, wie im folgenden Beispiel:

    Beispiele für deskriptive Analysen für Sendungen finden Sie unter Analysieren einer Population und unter Analysieren von Empfänger-Trackinglogs.

Konfigurieren der Vorlage für die quantitative Verteilung configuring-the-qualitative-distribution-template

Die Vorlage Qualitative Verteilung ermöglicht die Erstellung von Statistiken zu allen Datentypen (Firmenname, E-Mail-Domain etc.).

Die Konfigurationsoptionen für einen Bericht, der mit der Vorlage Qualitative Verteilung erstellt wurde, sind unter Anzeigen von Daten in der Tabelle aufgeführt. Ein vollständiges Beispiel wird in Analysieren einer Population beschrieben.

Wenn Sie den Assistenten für deskriptive Analysen verwenden, um Ihre Daten zu analysieren, hängen die verfügbaren Optionen von den gewählten Einstellungen ab. Diese sind im Folgenden aufgeführt.

Daten klassieren data-binning

Die ausgewählten Variablen können klassiert, d. h. nach bestimmten Kriterien in Klassen eingeteilt werden.

NOTE
Wenn das Feld, auf das sich die Berechnungen beziehen, mittels eines Aggregats berechnet wird, kreuzen Sie die Option Daten wurden bereits aggregiert an, um die Performance des Systems zu verbessern.

Die vorgeschlagenen Optionen können abhängig vom Inhalt dieses Felds variieren:

  • Ohne: Alle für die Variable verfügbaren Werte werden ohne Klassierung angezeigt.

    note caution
    CAUTION
    Diese Option sollte mit Vorsicht angewandt werden, da sie Performance und Lesbarkeit des Berichts stark beeinträchtigen kann.
  • Automatisch: Die n am meisten vertretenen Werte werden angezeigt. Sie werden automatisch berechnet und bilden in Abhängigkeit von der angegebenen Klassenanzahl einen bestimmten Prozentsatz der gewünschten Variablen ab. Wenn es sich um numerische Werte handelt, verteilt Adobe Campaign die Daten automatisch in n Klassen.

  • Manuell: Diese Option funktioniert wie die Option Automatisch, mit dem Unterschied, dass die Werte benutzerdefiniert werden können. Klicken Sie dazu auf die Schaltfläche Hinzufügen rechts neben der Wertetabelle.

    Die Werte können vor der Benutzerdefinierung automatisch von Adobe Campaign initialisiert werden: Geben Sie hierzu die Anzahl an zu erzeugenden Klassen an und klicken Sie auf den Link Initialiseren mit, wie im nachstehenden Beispiel:

    Passen Sie anschließend den Inhalt nach Bedarf an:

    Je nach gewünschtem Präzisionsniveau können die Felder, die die Daten enthalten, nach Stunde, Tag, Monat, Jahr etc. gruppiert werden.

  • Modulo: Erstellt bei numerischen Variablen Wertegruppen mit einem Intervall, dessen Größe im gleichnamigen Feld bezeichnet wird. Ein Modulo mit einem Wert von 10 erlaubt beispielsweise die Erstellung eines Intervalls von 10.

    Im unten stehenden Beispiel wird die Verteilung der Empfänger nach Altersgruppen dargestellt.

Anzeigen von Daten in der Tabelle displaying-data-in-the-table

Über die Symbolleiste kann die Anzeige der Variablen in der Tabelle angepasst werden: Spalten löschen, Daten in Zeilen statt in Spalten anzeigen, Reihenfolge der Daten ändern, Werteberechnung einsehen oder ändern.

Im oberen Bereich des Fensters wird die Anzeige konfiguriert.

Sie können den Namen der Statistiken und Zwischensummen anzeigen oder ausblenden und die Orientierung der Statistiken wählen. Weitere Informationen finden Sie unter Anzeigeparameter des Analyseberichts.

Anzeigen von Daten in der Grafik displaying-data-in-the-chart

Im ersten Schritt des Assistenten für deskriptive Analysen können Sie angeben, die Daten nur in grafischer Form und nicht in tabellarischer anzeigen zu lassen. In diesem Fall muss die Variablenauswahl bei der Konfiguration der Grafik vorgenommen werden. Wählen Sie zunächst die Anzahl der anzuzeigenden Variablen sowie die betroffenen Datenbankfelder aus.

Geben Sie dann den gewünschten Grafiktyp an.

NOTE
Sie können die Variablen sowohl in grafischer als auch in tabellarischer Form anzeigen lassen. Geben Sie in diesem Fall die Variablen im Fenster Tabellenkonfiguration an. Klicken Sie dann auf Weiter und wählen Sie den gewünschten Grafiktyp im Grafikkonfigurations-Fenster aus. In der Tabelle definierte Unterdimensionen werden nicht in der Grafik angezeigt.

Klicken Sie auf den Link Grafikparameter…, um die Eigenschaften der Grafik zu ändern.

Die zur Verfügung stehenden Optionen hängen vom gewählten Grafiktyp ab. Weitere Informationen dazu finden Sie auf dieser Seite.

Statistikberechnung statistics-calculation

Mithilfe des Assistenten für deskriptive Analysen können unterschiedliche Statistiktypen berechnet werden. Standardmäßig ist eine einfache Zählung konfiguriert.

Klicken Sie auf die Schaltfläche Hinzufügen, um eine neue Statistik zu erstellen.

Folgende Funktionen stehen zur Auswahl:

  • Einfache Zählung: zählt alle Werte ungleich null des zu aggregierenden Felds, auch doppelte Werte (des aggregierten Felds);

  • Durchschnitt: berechnet den Durchschnitt der Werte eines numerischen Felds;

  • Minimum: berechnet das Minimum der Werte eines numerischen Felds;

  • Maximum: berechnet das Maximum der Werte eines numerischen Felds;

  • Summe: berechnet die Summe der Werte eines numerischen Felds;

  • Standardabweichung: berechnet die Streuung der zurückgegebenen Werte um den Durchschnitt;

  • Verteilung in Prozent in Zeilen: berechnet das Verhältnis zwischen Spalten- und Zeilenwert (nur für Tabellen verfügbar);

  • Verteilung in Prozent in Spalten berechnet das Verhältnis zwischen Zeilen- und Spaltenwert (nur für Tabellen verfügbar);

  • Verteilung in Prozent über die Gesamtheit: berechnet den von den Werten betroffenen Anteil der Gesamtheit der Empfänger;

  • Berechnetes Feld: ermöglicht die Erstellung einer benutzerdefinierten Funktion (nur für Tabellen verfügbar). Im Feld Benutzerfunktion wird die auf die Daten anzuwendende Berechnung angegeben.

    Beispiel zur Berechnung des durchschnittlichen Einkaufsbetrags pro Kunde, nach Land und Herkunft:

    Um den oben stehenden Bericht zu realisieren, muss zunächst ein berechnetes Feld erstellt werden, in dem der durchschnittliche Einkaufsbetrag pro Kunde gespeichert wird.

    Gehen Sie dazu wie folgt vor:

    1. Berechnen Sie die Summe der Einkäufe.

    2. Diese Statistik soll nicht in der Tabelle angezeigt werden. Deaktivieren Sie also die Option In der Tabelle anzeigen im Tab Erweitert.

    3. Erstellen Sie eine neue Statistik vom Typ Berechnetes Feld und erfassen Sie die folgende Formel im Feld Benutzerfunktion: @Einkäufe/@count.

Anzeigen des Berichts displaying-the-report

Im letzten Schritt des Assistenten wird der Bericht angezeigt, d. h. die zuvor konfigurierte Tabelle und/oder Grafik.

Wenn der Bericht eine Tabelle enthält, ist die Ergebniszelle der Berechnung eingefärbt. Die Intensität der Farbe ist umso stärker, je höher das Ergebnis ausfällt.

Die Darstellung der Ergebnisse kann angepasst werden. Klicken Sie hierzu mit der rechten Maustaste auf die betroffene Variable und wählen Sie den gewünschten Eintrag im Kontextmenü aus.

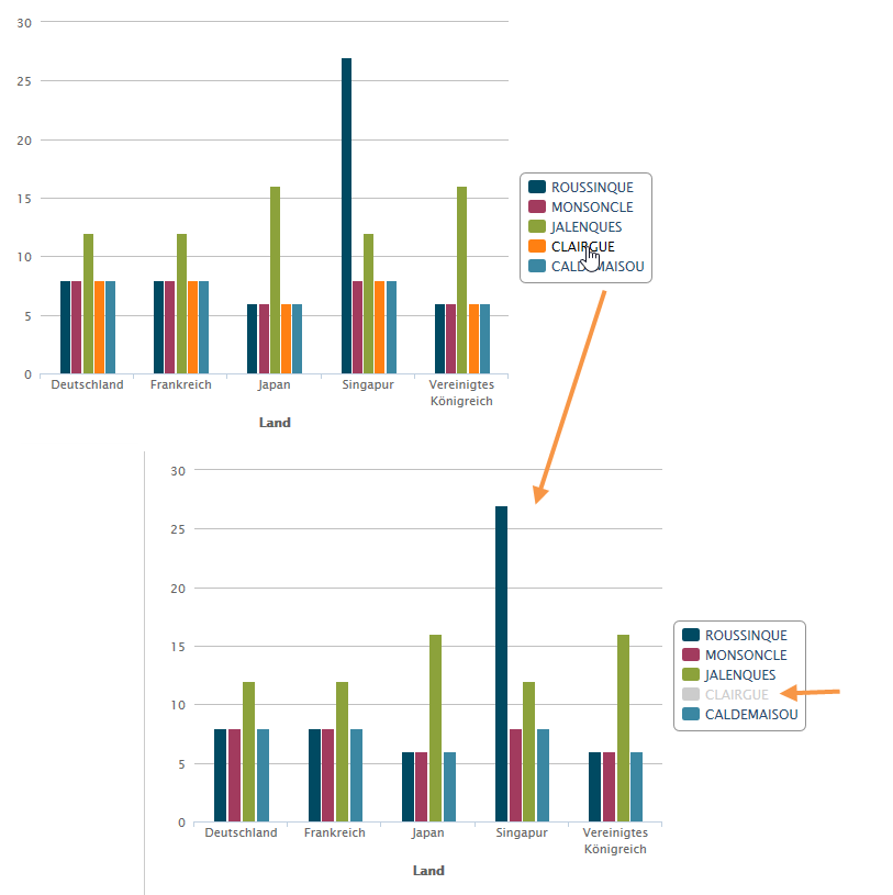
Wenn der Bericht eine Grafik enthält, können die angezeigten Informationen mithilfe der Legendentitel gefiltert werden: Klicken Sie auf einen Titel, um die Anzeige der entsprechenden Daten zu deaktivieren. Bei erneutem Klick wird die Anzeige wieder aktiviert.

Konfigurieren der Vorlage für die quantitative Verteilung configuring-the-quantitative-distribution-template

Um eine deskriptive Analyse eigenständig zu verwalten, kreuzen Sie die Option Neue deskriptive Analyse basierend auf einer Vorlage an, sofern sie nicht bereits standardmäßig ausgewählt ist.

Die Vorlage Quantitative Verteilung ermöglicht Statistiken über Daten, die gemessen oder gezählt werden können (Rechnungsbetrag, Alter der Empfänger etc.).

Die Konfiguration von auf einer quantitativen Verteilung basierenden Berichten wird in einem Umsetzungsbeispiel Quantitative Datenanalyse beschrieben.

Die bei der Nutzung des Assistenten für deskriptive Analysen verfügbaren Optionen zum Erstellen eines quantitativen Berichts sind nachfolgend aufgeführt.

Zunächst muss eine Variable ausgewählt werden, auf die sich die Berechnungen beziehen:

Adobe Campaign bietet standardmäßig eine Reihe von Statistiken zur Analyse der ausgewählten Daten. Sie können die Liste bei Bedarf bearbeiten und Statistiken hinzufügen, verändern oder löschen.

Folgende Funktionen stehen zur Auswahl:

  • Einfache Zählung: zählt alle Werte ungleich null des zu aggregierenden Felds, auch doppelte Werte (des aggregierten Felds);

  • Durchschnitt: berechnet den Durchschnitt der Werte eines numerischen Felds;

  • Minimum: berechnet das Minimum der Werte eines numerischen Felds;

  • Maximum: berechnet das Maximum der Werte eines numerischen Felds;

  • Summe: berechnet die Summe der Werte eines numerischen Felds;

  • Standardabweichung: berechnet die Streuung der zurückgegebenen Werte um den Durchschnitt;

  • Anzahl fehlender Werte: berechnet die Anzahl der numerischen Felder, die keinen definierten Wert haben;

  • Dezil-Verteilung: verteilt die zurückgegebenen Werte eines numerischen Felds in 10 umfangsgleiche Teile;

  • Benutzerdefinierte Verteilung: verteilt die zurückgegebenen Werte entsprechend den vom Benutzer definierten Schwellen.

    Über die Schaltfläche Detail kann eine Statistik geöffnet und bei Bedarf ihre Anzeige oder Berechnung angepasst werden:

    Die letzte Etappe des Assistenten zeigt den quantitativen Analysebericht an.

    Um Änderungen an dem Bericht vorzunehmen, siehe Bearbeiten eines Berichts.

recommendation-more-help
601d79c3-e613-4db3-889a-ae959cd9e3e1