[계산된 지표 빌더]를 사용하면 [고급 계산 지표]에 통계 및 수학 함수를 적용할 수 있습니다.
다음은 함수 및 그 정의를 알파벳 순서로 나열한 것입니다.
metric가 함수에서 인수로 식별되는 경우, 지표의 다른 표현식도 허용됩니다. 예를 들어 MAXV(metrics)는 MAXV(PageViews + Visits)에도 허용됩니다.
테이블 함수는 출력이 모든 테이블 행에 대해 동일한 함수입니다. 행 함수는 출력이 모든 테이블 행에 대해 다른 함수입니다.
숫자의 절대값을 반환합니다. 숫자의 절대값은 양의 값을 갖는 숫자입니다.
ABS(metric)
| 인수 | 설명 |
|---|---|
| 지표 | 절대값이 필요한 지표. |
지표 열에 대한 차원 요소 세트에서 가장 큰 값을 반환합니다. MAXV는 차원 열들에서 단일 열 (지표) 내에서 수직으로 평가됩니다.
MAXV(metric)
| 인수 | 설명 |
|---|---|
| 지표 | 평가하고 싶은 지표. |
지표 열에 대한 차원 요소 세트에서 가장 작은 값을 반환합니다. MINV는 차원 열들에서 단일 열 (지표) 내에서 수직으로 평가됩니다.
MINV(metric)
| 인수 | 설명 |
|---|---|
| 지표 | 평가하고 싶은 지표. |
열 내의 한 지표에 대한 모든 숫자 값을 추가합니다 (차원의 요소들에 대해).
SUM(metric)
| 인수 | 설명 |
|---|---|
| 지표 | 합계 값 또는 합계가 필요한 지표. |
열 내의 한 지표에 대한 0이 아닌 모든 숫자 값의 개수 또는 카운트를 반환합니다 (한 차원 내에서 보고된 고유 요소의 수).
COUNT(metric)
| 인수 | 설명 |
|---|---|
| 지표 | 카운트할 지표. |
e를 주어진 숫자만큼 거듭제곱한 값을 반환합니다. 상수 e는 자연 로그의 밑인 2.71828182845904와 같습니다. EXP는 숫자의 자연 로그인 LN의 역함수입니다.
EXP(metric)
| 인수 | 설명 |
|---|---|
| 지표 | 밑 e에 적용된 지수. |
거듭제곱 연산자
pow(x,y) = x<sup>y</sup> = x*x*x*… (y times)
열에 있는 지표에 대한 산술 평균 또는 평균을 반환합니다.
MEAN(metric)
| 인수 | 설명 |
|---|---|
| 지표 | 평균이 필요한 지표. |
열에 있는 지표에 대한 중간값을 반환합니다. 중간값은 숫자 세트의 중간에 있는 숫자입니다. 즉, 이 값의 반은 중간값보다 크거나 같은 값이고 다른 반은 중간값보다 작거나 같습니다.
MEDIAN(metric)
| 인수 | 설명 |
|---|---|
| 지표 | 중간값이 필요한 지표. |
유클리드 나눗셈을 사용하는 col1 / col2의 나머지입니다.
x를 y로 나눈 후 나머지를 반환합니다.
x = floor(x/y) + modulo(x,y)
반환 값의 부호는 입력과 같습니다 (또는 영임).
modulo(4,3) = 1
modulo(-4,3) = -1
modulo(-3,3) = 0
항상 양수가 되도록 하려면 다음 공식을 사용하십시오.
modulo(modulo(x,y)+y,y)
지표에 대한 값들의 k번째 백분위수를 반환합니다. 이 함수를 사용하여 허용되는 임계값을 설정할 수 있습니다. 예를 들어 스코어가 90번째 백분위수를 넘는 차원 요소를 검사하기로 결정할 수 있습니다.
PERCENTILE(metric,k)
| 인수 | 설명 |
|---|---|
| 지표 | 상대적 순위를 정의하는 지표 열. |
| k | 0에서 100까지 범위의 백분위수 값. |
지표에 대한 값들의 사분위수를 반환합니다. 예를 들어 사분위수는 대부분의 매출을 파생시키는 상위 25%의 제품을 찾는 데 사용될 수 있습니다. MINV, MEDIAN 및 MAXV는 quart가 각각 0 (영), 2 및 4일 때 동일한 값을 QUARTILE로 반환합니다.
QUARTILE(metric,quart)
| 인수 | 설명 |
|---|---|
| 지표 | 사분위수 값이 필요한 지표. |
| quart | 반환할 *값을 나타냅니다. |
*quart = 0일 경우, QUARTILE은 최소값을 반환합니다. quart = 1일 경우, QUARTILE은 첫 번째 사분위수 (25번째 백분위수)를 반환합니다. quart = 2일 경우, QUARTILE은 첫 번째 사분위수 (50번째 백분위수)를 반환합니다. quart = 3일 경우, QUARTILE은 첫 번째 사분위수 (75번째 백분위수)를 반환합니다. quart = 4일 경우에는, QUARTILE이 최대값을 반환합니다.
주어진 값에 가장 가까운 정수를 반환합니다. 예를 들어 수입에 대해 소수 통화를 보고하지 않으려 하고, 제품에 $569.34가 있는 경우, 공식 Round (수입)을 사용하여 수입을 가장 근접한 달러 또는 $569로 반올림하십시오. $569.51로 보고되는 제품은 가장 가까운 달러인 $570으로 반올림됩니다.
ROUND(metric)
| 인수 | 설명 |
|---|---|
| number | 반올림할 지표. |
자리 매개 변수가 없는 반올림은 자리 매개 변수가 0인 반올림과 같습니다. 즉 가장 가까운 정수로 반올림하는 것과 같습니다. 자리 매개 변수를 사용하면 소수의 오른쪽에 그만큼 많은 자리를 반환합니다. 자리가 음수이면, 소수의 왼쪽에 0들을 반환합니다.
round( 314.15, 0) = 314
round( 314.15, 1) = 314.1
round( 314.15, -1) = 310
round( 314.15, -2) = 300
주어진 열에 대한 행 수(차원 내에서 보고된 고유 요소 수)를 반환합니다. "고유 수 초과"는 1로 집계됩니다.
각 행의 최대 열 수.
각 행의 최소 열 수.
각 행의 열 합계.
숫자의 양의 제곱근을 반환합니다. 숫자의 제곱근은 해당 숫자의 1/2 거듭제곱 값입니다.
SQRT(metric)
| 인수 | 설명 |
|---|---|
| number | 제곱근이 필요한 지표. |
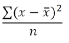
데이터의 표본 인구를 기반으로, 표준 편차나, 분산의 제곱근을 반환합니다.
STDEV 방정식은 다음과 같습니다.

여기서 x는 각 표본 (metric)의 값입니다. x̄는 모집단 평균이고 n은 모집단 크기입니다.
STDEV(metric)
| 인수 | 설명 |
|---|---|
| 지표 | 표준 편차에 필요한 지표. |
데이터의 표본 인구를 기반으로 분산을 반환합니다.
VARIANCE 방정식은 다음과 같습니다.

여기서 x는 각 표본 (metric)의 값입니다. x̄는 모집단 평균이고 n은 모집단 크기입니다.
VARIANCE(metric)
| 인수 | 설명 |
|---|---|
| 지표 | 분산이 필요한 지표. |
변량을 계산하려면 전체 숫자 열을 확인합니다. 그 숫자 목록에서 먼저 평균을 계산합니다. 평균을 계산한 다음 각 항목으로 이동하여 다음을 수행합니다.
전체 열에 대해 반복하여 총계 값을 하나 얻습니다. 그 총계를 열의 항목 수 (열 개수)로 나눕니다. 이렇게 해서 얻은 숫자가 열의 변량입니다. 이 값은 하나의 값이지만 숫자 열로 표시됩니다.
예를 들어 3개 항목으로 된 열이 있습니다.
1
2
3
이 열의 평균은 2입니다. 열의 변량은 (1 - 2)² + (2 - 2)² + (3 - 2)²/3 = 2/3입니다.